Utveckling av testrigg f�r m�tning av d�ckfriktion mot vinterv�glag
THORBJ�RN ALDG�RD
DAVID JOHANSSON
Lule� tekniska universitet
Institutionen f�r Till�mpad fysik � Maskin- och materialteknik
Avdelningen f�r Maskinelement
Abstract
This master thesis is a product development project that has been carried out in Lule� at the University of Technology and at Caran in Gothenburg. The assignment was to develop a test rig for measurements of friction between a tire and the surface of different winter roads on the basis of a list of requirements. Since recently Lule� University of Technology (LTU) cooperates with Michelin. The idea with this master thesis is that the division of machine elements at LTU will receive the fundamentals in tires and their including parameters to lead the project to next level.
The objective for this work is to develop a testrig that enables a quick procedure, which contains the test itself, and characterization of the surface. The purpose in developing the testrig is to evaluate which type of tire that suits best for the current road conditions and to find the relation between the characteristics of the surface such as temperature, humidity, hardness, topographic, etc. and the characteristics of the tire for example geometrics of the pattern, the constitution of the rubber mixture, etc.
A specification of requirements was prepared containing all demands set on the test rig. Among all demands the most important ones to fulfill is to achieve superior repeatability, the fewer factors influencing the test results the better. The test procedure must be rapid so a number of tires can be tested during a relatively short period of time. It must be possible to carry out the test by one operator without being exposed to non ergonomic situations. On the basis of these demands a number of different concepts were prepared, all of them more or less fulfilling the list of demands. Out of these concepts, one was chosen for investigation of its relevance and viability.
The selected concept is based on an old device called �Jumping ball� whose purpose is to evaluate the obstruction of friction for different oils and greases. The concept consists of two rails with an adjustable angle towards the surface. The wheel rests on a frame on a slider whose wheels runs inside the rails on its way down towards the ground. When the wheel bounces, it immediately leaves the frame. A moment is engendered around the contact patch which simplified can be regarded as a line. The wheel will start to rotate and the velocity of the rotation is dependent of the amount of friction that occurs in the contact between the tire and the surface. The rate of rotation will be recorded with a high-resolution camera, transmitted to a computer and translated to the coefficient of friction.
The final concept fulfills all the high valued requirements with satisfaction. Some of the low valued requirements were renounced.
1 Inledning
Detta kapitel beskriver problemets bakgrund, problemet i sig och vad som skall l�sas. En enklare presentation av uppdragsgivare och vilka m�l som skall uppfyllas ges.
1.1 Bakgrund
Pascal Ehret p� Michelin tog vintern 2005 kontakt med Roland Larsson p� Tribolab vid avdelningen Maskinelement p� Ltu, Lule� tekniska universitet. Fr�gan som st�lldes var om Ltu kunde t�nka sig att p�b�rja ett forskningsprojekt p� vinterv�glag och hur d�ckets egenskaper p�verkar v�ggreppet. Lule�s geografiska l�ge �r optimalt, l�ngt norrut, l�ng vinter, n�rhet till den allt mer v�xande biltestindustrin i inlandet och h�r finns mycket kunnande.
Vid Ltu finns tv� forskargrupper med stor kompetens inom omr�dena friktion, provning och sn�/is-karakt�risering. Den ena gruppen finns inom avdelningen f�r maskinelement. D�r drivs med stor framg�ng forskning inom tribologi, d.v.s. l�ran om friktion, n�tning och sm�rjning. D�r finns f�rutom en stor forskargrupp ocks� ett av Europas b�st utrustade laboratorium f�r tribologiska studier, Tribolab. Gruppen har gott internationellt rykte och �r en av Europas st�rsta inom omr�det. Den andra gruppen finns inom avdelningen f�r byggkonstruktion. H�r finns motsvarande m�ng�riga kompetens och erfarenhet inom sn�- och iskarakt�risering, erfarenhet finns dessutom av istillverkning f�r biltestning. Tillsammans ger dessa grupper mycket bra f�ruts�ttningar f�r kvalificerade vetenskapliga studier av d�ckfriktion och dess relation till v�gunderlagets egenskaper.
Som en del i detta forskningsprojekt kunde n�gra examensarbeten utformas. Detta examensarbete best�r av utveckling och modellering av en mobil testrigg f�r att testa olika d�cks friktion mot olika vinterv�glag p� ett snabbt och relativt enkelt s�tt.
1.2 Uppdragsgivare
Nedan �r de inblandade uppdragsgivarna kort presenterade. Dessa �r Ltu, �t vilka uppdraget utf�rs, och Caran d�r en av examensarbetarna utf�rde arbetet.
1.2.1 Lule� tekniska universitet � Tribolab
Tribolab �r en verksamhet under avdelningen maskinelement p� institutionen f�r till�mpad fysik, maskin- och materialteknik. De bedriver tribologisk provning och karakt�risering av material under olika driftsf�rh�llanden i syfte att minska antalet haverier och skador inom industrin tack vare reducerat slitage och f�rb�ttrad sm�rjning. Tribolab utf�r ocks� ber�kningar och modelleringar kopplat till laborativa tester.
1.2.2 VW-Data Caran AB
F�retaget bildades 2003 utifr�n de verksamheter som tidigare var k�nda som Knight och Caran och �r idag en av de stora akt�rerna inom den svenska konsultbranchen. Det �r inom produktutveckling som f�retaget har en stark position. F�retaget har fullst�ndiga resurser inom design, konstruktion och avancerad prototyptillverkning, men ocks� f�r utveckling av produktionsmetoder och verksamhetsst�d. Caran �r mycket delaktigt inom utvecklingsarbetet i svensk bilindustri och med ovan n�mnda resurser m�jligheter till att �in house� ta fullt ansvar f�r konstruktion, utformning och analys av nya produkter och dess funktion.
1.3 Problembeskrivning
Att kunna erh�lla ett v�rde p� friktionen mellan ett d�ck och det specifika v�glaget �r idag �nskv�rt fr�n d�cksleverant�rer, biltillverkare och testindustrin. Dagens testriggar f�r d�ck �r fr�mst konstruerade f�r att utf�ra sitt arbete station�rt i labbmilj�. De riggar som finns f�r tester �i f�lt� anv�nder sig av ett s.k. referensd�ck som alltid skall anv�ndas och �r dessutom komplicerade att utf�ra ett d�ckbyte p� om man vill j�mf�ra olika d�cks egenskaper.
Michelin bad Lule� tekniska universitet att utveckla en testrigg som m�jliggjorde snabba tester av d�ck samtidigt som v�glaget skall kunna karakteriseras. Detta f�r att kunna utv�rdera vilken typ av d�ck som passar b�st f�r v�glaget som r�der f�r dagen. Examensarbetet omfattar inte att utveckla karaketriseringsutrustningen till f�rdig produkt men f�rslag till vilka parametrar som b�r studeras l�mnas av examensarbetarna.
1.4 M�l
Examensarbetets m�l �r att genomf�ra en konceptstudie p� en testrigg f�r m�tning av d�ckfriktion i vinterv�glag. Konceptstudien skall leda fram till ett slutgiltigt koncept som uppfyller de krav och om m�jligt de extra �nskem�l som st�lls p� projektet s� gott som m�jligt. Det slutgiltiga konceptet dimensioneras och ritas upp i ett 3D CAD-program.
2 Arbetsmetod
Detta kapitel beskriver �versiktligt hur arbetet har utf�rts och vilka faser som examensarbetarna har g�tt igenom.
Arbetet inleddes med att en f�rstudie genomf�rdes f�r att unders�ka vilka typer av testanordningar som existerar och testriggar inom andra omr�den som skulle kunna ge id�er s.k. related technology. Tillsammans med handledare i Lule� uppr�ttades en kravspecifikation f�r testriggen, �ven inneh�llandes n�gra �nskem�l fr�n handledarnas sida. En inledande projektplanering uppr�ttades ocks� vid exjobbets b�rjan, se Bilaga I.
En utvecklingsprocess kan utarbetas med hj�lp av flertalet olika metoder som strukturerar upp genomf�randet. figur 1 �r en schematisk bild �ver hur arbetet med att utveckla testriggen har utformats.

figur 1 - Scematisk bild �ver utvecklingsarbetet, Ulrich & Eppinger (1995)
Konceptgenereringsfasen startades med hj�lp av samarbetspartners p� Caran och andra intressenter. Under perioden gjordes studiebes�k f�r att f� mer id�er och feedback till olika koncept. Slutligen fanns det ett flertal f�rslag till hur testriggen skulle kunna utformas. Dessa koncept granskades och utv�rderades sedan noga. D�rp�, i samr�d med intresserade parter, valdes det koncept som b�st uppfyllde kravspecifikationen och intressenternas �nskem�l. Det slutgiltiga konceptet f�rfinades och granskades noga f�r att ta reda p� om det var genomf�rbart och funktionsdugligt.
3 Teori
I Kapitlet beskrivs den grundl�ggande teorin g�llande friktion, �ven v�glagets karakt�r och inverkande parametrarna vid d�ckfriktion behandlas.
3.1 Friktion
Kontaktkrafter uppst�r d� tv� kroppar kommer i kontakt med varandra. Dessa kontaktkrafter best�r av normal- och friktionskrafter. Normalkraften �r resultanten till en kropps tyngdkraft (betecknas N). Friktionskraft �r en komponent som �r parallell med ytan (betecknas Fk), se figur 2.

figur 2 - Formel f�r ber�kning av friktionskraften.
Friktionskraftens riktning �r alltid den motsatta till r�relseriktningen. Den friktion som uppst�r d� ett f�rem�l glider �ver en yta kallas den kinetiska friktionskraften, Fk. Friktionskrafter uppst�r �ven n�r det inte f�rekommer n�gon relativ r�relse, detta kallas f�r den statiska friktionskraften, Fs. Se figur 3 f�r friktionsprincipen.

figur 3 - Princip f�r kinetisk friktion.
Friktionskoefficienten � �r en enhetsl�s och den �r inte konstant f�r ett material utan �r en karakteristisk enhet f�r egenskaperna som de tv� materialen/kropparna under vissa f�rh�llanden har tillsammans.
3.2 V�glag
Vid utveckling av d�ck str�var tillverkarna efter att rullmotst�ndet dvs. friktionen mellan d�ck och v�glag vid rotation skall vara s� liten som m�jligt. Detta leder till att br�nslef�rbrukningen blir l�g och d�ckljudet i kup�n blir l�gre. Samtidigt efterstr�var tillverkarna att friktionen vid handling (acceleration, retardation och styrning) skall vara s� stor som m�jligt d� det �r dessa faktorer som utg�r trafiks�kerheten. Detta �r en balansg�ng som d�cktillverkaren m�ste anpassa sig och sina produkter till.
V�glagets yta kan karakt�riseras med mikro- och makrosl�thet samt mikro- och makror�het, figur 4 beskriver skillnaderna mellan dessa, Denna karakterisering kan g�ras p� v�glag av b�de vinter och sommartyp.

figur 4 - Beskrivning av v�gytans karakt�r, Michelin 2001.
Makror�heten dr�nerar och f�rvarar vatten men kan inte bryta igenom den �terst�ende vattenfilmen. Denna vattenfilm �r d� en risk f�r vattenplaning vilket motverkas om mikror�het existerar d� denna r�het bryter igenom vattenfilmen och skapar punkter med mycket h�gt kontakttryck mellan d�ck och v�gyta. B�da ovan n�mnda kan ses i figur 5.

figur 5 - Makro- och mikror�hetens egenskaper, Michelin 2001.
3.3 Friktion vid bilk�rning
Faktorer som p�verkar friktionen mellan ett d�ck och v�glaget �r m�nga och det �r bara ett f�tal som f�raren av fordonet kan p�verka. I figur 6 illustreras detta med hj�lp av material fr�n Coralba.

figur 6 - Faktorer som p�verkar friktionen (Coralba)
De v�glag som r�der i ett land som Sverige �r m�nga och olika under ett �r. Friktionskoefficienten f�r kontakten mellan d�ck och v�glag varierar mycket och utg�r en stor fara i trafiken vid oaktsamhet, se tabell 1.

tabell 1 - Ungef�rliga friktionskoefficienter f�r olika v�glag.
4 Egenskaper hos d�ck
Kapitlet kommer att ge en inblick i bild�ckets uppbyggnad, egenskaper och utveckling. Det kommer �ven beskrivas varf�r vissa d�ck �r mer l�mpade f�r olika applikationer �n andra. Huvudsakligen har informationen h�mtats fr�n Haney, P � The racing and high-performance Tire och Michelin � The tyre grip, �ven sidor p� internet har bist�tt med information.
4.1 Gummi � D�ckets byggsten
Gummi �r k�nt i sin naturliga form sedan 2500 �r tillbaka, d� inf�dingar i Central- och Sydamerika uppt�ckte dess vattenavvisande egenskaper. P� 1600-talet kom de Spanska uppt�cktsresande i kontakt med materialet och f�rst i b�rjan p� 1700-talet kom det till Europa. Under den tidigare halvan av 1800-talet uppt�cktes vulkaniseringsprocessen som gjorde gummi mer anv�ndbart d� det i sin naturliga form hade en tendens att bli en klibbig massa sommartid och stenh�rt vintertid. I och med vulkaniseringen beh�ll gummit sina elastiska och visk�sa egenskaper �ver alla temperaturer. I b�rjan av 1900-talet utvecklades syntetiskt gummi som f�ljd av att naturgummit inte kunde uppfylla industrins m�ngdbehov.
Gummi �r uppbyggt av l�nga polymerkedjor best�ende av upprepade kemiska enheter, s� kallade monomerer. Naturgummi, mer k�nt som latex, �r en blandning av polymerer. Den dominerande �r isopren och latex �r till st�rst del en polyisopren polymer. Innan vulkanisering �r gummit mjukt, l�ttformligt och �ndrar l�tt karakt�r efter temperaturen. Detta inneb�r att polymererna r�r sig fritt mot varandra. N�r man vulkaniserar gummit tills�tts bl.a. svavel och sedan v�rme. Starka bindningar skapas d� mellan polymerkedjorna och fr�n att ha varit ett rinnigt, klibbigt material blir det v�rmeresistent, fast och f�r �kad t�jbarhet.
Generellt kan s�gas att gummi �r ett viskoelastiskt material med egenskaper som ligger n�gonstans mittemellan en visk�s v�tska och en elastisk solid. En grov f�rklaring �r att gummi har egenskaper som ett komplett fj�derben till en bil, det har elasticiteten som en fj�der och den visk�st d�mpande effekten som en st�td�mpare. Beroende p� hur gummit framst�lls och vulkaniseras kan �nskad f�rdelning av dessa egenskaper uppn�s.
4.2 D�ckfriktion
Friktion i d�ck uppkommer p� tre huvudsakliga s�tt, adhesion, deformation och slitage. Alla p�verkar de friktionstalet i kontaktytan p� sitt speciella s�tt och tillsammans utg�r de d�ckets friktionsegenskaper, de tv� f�rst n�mnda typerna ses p� n�sta sida i figur 7.
Adhesion �r en egenskap hos gummi som f�r den att f�sta vid andra material. Generellt sett �r det ett resultat av tillf�lliga molekyl�ra bindningar i kontaktytan mellan de tv� ytorna. Om bindningsstyrkan �r densamma �ver alla kontaktpunkterna s� �r kraften som motst�r glidning proportionell mot den totala kontaktytan. Skulle b�da ytorna vara perfekt sl�ta skulle kontaktytan vara den med �gat observerade men s� �r inte fallet med verkliga material. P� en molekyl�r niv� �r ytan v�ldigt grov vilket g�r att kontaktytan kan bli mycket st�rre beroende p� egenskaper hos materialet och vilka krafter som inverkar vid kontakten. Ju st�rre kontaktarea som uppst�r desto starkare blir adhesionen.
N�r gummi kommer i kontakt med en sl�t yta, som t.ex. glas, �r det i stort sett bara genom adhesion som friktionskrafter uppkommer. �r ytan oj�mn b�rjar �ven deformationsmekanismen hos gummi att generera friktionskrafter. Om en bit gummi f�rs �ver en oj�mn yta, resulterar det i deformationstoppar p� gummiytan, skapade av de mycket sm� oj�mnheterna p� kontaktytan. Om kontaktytan var bl�t i detta fall, skulle ingen direktkontakt med gummit ske och d�rmed ingen p�verkan av adhesionskraften. Friktionskrafter genom deformation �r de som ger mest friktion mellan ett d�ck och en v�t v�gbana.

figur 7 - Friktionstyperna deformation och adhesion - Michelin 2001.
Ut�ver adhesion och deformation producerar gummi �ven friktionskraft genom slitage. N�r deformationskrafter samt glidhastigheter stiger, �kar ibland det lokala trycket till en niv� �ver gummits str�ckgr�ns vilket leder till permanent deformation. N�r detta sker absorberas energi och extra friktionskraft tillkommer. Uts�tts gummit f�r s�dan belastning under l�ngre tid kan material b�rja separera fr�n ytan, dvs. gummit slits loss. Kan k�nnas igen som svarta streck p� asfalten som kan uppkomma vid kraftig inbromsning eller acceleration med t.ex. bil.
4.3 D�ckdesign och gummiblandningar
Vid framtagning av nya d�ck finns det m�nga inverkande parametrar g�llande utformning och gummiblandningar. Parametrar som adhesionsf�rm�ga, slitagebest�ndighet och temperaturberoende inverkar p� varandra och f�r att uppn� �nskade egenskaper m�ste ibland kompromisser g�ras. Ett d�ck med bra f�ste (racingd�ck) har inte lika l�ng livsl�ngd som ett vanligt personbilsd�ck, som i sin tur har s�mre f�ste. Densamma g�ller f�r d�ckm�nstret och hur det �r utformat, olika gummiblandningar ger olika ljudd�mpande egenskaper tillsammans med utseendet p� m�nstret. Ett d�ck �r inte bara en massa olika gummiblandningar och tillsats�mnen, som t.ex. det viktiga �carbon black� (sot) och svavel. F�r att d�cket skall klara av de olika p�frestningar det uts�tts f�r �r olika lager f�rst�rkande st�ltr�d och textiler sammanfl�tat inuti gummit.
4.4 Beteende hos d�ck
Under anv�ndande av d�ck skiftar beteendet med karakt�ren p� k�rningen, acceleration, bromsning eller kurvtagning ger alla upphov till olika krafter. Vid acceleration och bromsning �r krafterna p� d�cksidan s� pass stora att kontaktytan mot underlaget f�r�ndras, i dessa fall flyttas ytan bakom respektive framf�r ett t�nkt centrum p� d�cket. Vid kurvtagning g�ller densamma men beroende p� hjulets vinkling f�r kontaktytan olika b�jd form, se figur 8.
Alla dessa ovan n�mnda situationer ger upphov till viss glidning i kontaktytan, hur mycket beror p� underlag och d�ckets vidh�ftningsf�rm�ga. N�r inverkande krafter blir f�r stora och friktionen mellan d�ck och underlag f�r l�g resulterar det i att d�cket tappar greppet och b�rjar sladda eller slira.

figur 8 - D�ck vid kurvtagning, Michelin 2001.
4.5 D�cktester och utveckling
Den f�rsta halvan av 1900-talet gick utvecklingen av d�ck sakta fram�t d� det egentligen inte fanns n�gon direkt anledning till konkurrens mellan d�cktillverkarna. N�r intresset f�r bilracing �kade fram�t 70-talet ins�g de dock m�jligheterna inom denna nisch. Men f�r att f� de b�sta teamen att k�ra med just sina d�ck var de tvungna att utveckla de b�sta d�cken, detta ledde i sin tur till att utvecklingen gick fram�t i rasande fart.
I dagsl�get har d�cksutvecklingen n�tt utanf�r racingv�rlden och tester g�rs numera �ven f�r personbils- och lastbilsd�ck p� en h�g niv�. Alla st�rre d�cktillverkare har egna testomr�den och �ven olika testriggar f�r testning av d�ck inomhus i laboratoriemilj�.
F�r simulering av torrt v�glag och i viss m�n �ven v�tt v�glag g�r det bra med tester i konstgjord milj�, sv�rare blir det n�r man vill testa d�ckbeteende i vinterv�glag. De tester som utf�rs i dag sker p� testanl�ggningar bel�gna i omr�den med l�mpligt klimat. Men trots att klimatet �r det r�tta har man bara kunnat utf�ra f�lttester med fullt utrustade bilar som inte gett lika mycket m�tdata och information som tester i laboratoriemilj�.
5 Vinterv�glag
Detta kapitel beskriver kortfattat beteende och egenskaper hos sn� och is samt dess definition och f�rekomst p� vinterv�gar. De parametrar som m�ste unders�kas vid en karakterisering av underlaget beskrivs. Det huvudsakliga materialet �r h�mtat fr�n Persson, B.N.J � Physics of sliding friction, Petrenko, V.F � Physics of ice, V�gverket och VTI.
5.1 Definition av vinterv�glag i praktiken
Den generella definitionen av vinterv�glag �r n�r det �r sn�, is eller frost p� v�gbanan. I praktiken �r det Polisen som bed�mer om det �r vinterv�glag eller inte i Sverige. Fr�n den 1:a Oktober till 30:e April �r det till�tet att anv�nda vinterd�ck , den 1:a November s�nks hastigheten p� v�gar som anses farliga vid vinterv�glag och mellan den 1:a December till den 31:a Mars �r det lag p� att anv�nda vinterd�ck vid vinterv�glag. Sommard�ck f�r anv�ndas om det skulle vara torrt v�glag i Januari, dock rekommenderar V�gverket att vinterd�ck anv�nds hela vinterperioden d� sn� och halka kan komma snabbt och ov�ntat. Dessutom h�rdnar sommard�ck vid l�ga temperaturer och ger s�mre v�gegenskaper �n vid dess egentliga anv�ndningstemperatur.
5.2 Sn�- och iskristallers yta
Ytan hos ett solitt material, vad den �n �r i kontakt med, �r en region d�r egenskaperna skiljer sig markant fr�n �mnet utan yttre kontakt. Skillnaden �r att det yttre atomlagret inte har samma bindningar som de innanf�r vilket resulterar i speciellt beteende. Forskning om ytegenskaper �r n�got som expanderat de senaste �ren och d� speciellt inom isomr�det.
Is �r det enda �mne folk dagligen kommer i kontakt med som befinner sig runt sin sm�lttemperatur kring 0�C. Alldeles under denna temperatur �r isen (sn�n) v�ldigt formbar och kan l�tt kompakteras till en sn�boll. Sjunker temperaturen ytterligare f�s en kall, torr is som �r en pulverliknande substans som inte alls �r l�tt att packa. F�rklaringen till detta �r att i n�rheten av sm�lttemperaturen har de fria ytorna ett slags v�tskeliknande lager som vid kontakt med varandra bildar �solid� is. Detta �r n�got som bevisats g�lla �ven f�r andra material n�r �mnet befinner sig just under sin sm�ltpunkt.
5.3 Sn� och is p� v�ra v�gar
Isen, eller sn�kristallerna, som p�tr�ffas p� vinterv�gar �r i mycket skiftande karakt�r, mycket beroende p� vart i Sverige p�tr�ffandet sker. Under vinterhalv�ret har s�dra delen av landet problem med temperaturv�xlingar runt 0�C vilket �r den besv�rligaste temperaturen. Blixthalka genom underkylt regn �r mycket vanligt och f�rs�k att motarbeta detta sker genom saltning v�garna. I de nordligare delarna p�tr�ffas inte samma problem d� temperaturen oftast ligger konstant under den besv�rliga sm�ltpunkten och saltning �r inte lika n�dv�ndigt.
Ett besv�rligt vinterv�glag �r n�r det kommer nederb�rd i form av sn� vid strax under 0�C i kombination med saltad v�gbana. Sn�modd bildas och utanf�r befintliga hjulsp�r kan det vara mycket sv�rt att hantera bilen. I norrland �r ist�llet sn�r�k ett vanligt problem, torr sn� som yr pga. fartvindar kan minska sikten markant. Ut�ver dessa �r det blixthalkan som orsakar flest olyckor under vinterhalv�ret, ofta i form av singelolyckor.
5.4 Karakterisering av vinterv�glag
Vid karakterisering av vinterv�glag finns det m�nga olika parametrar som m�ste beaktas. Dessa p�verkar alla mer eller mindre testets utfall och m�ste s�ledes studeras f�r att full k�nnedom av vad som sker vid d�ck/v�glags kontakt. Nedan kan l�sas vilka olika parametrar som b�r unders�kas vid en omfattande karakterisering av underlaget.
Sn�temperatur kan m�tas med samma utrustning som anv�nds f�r mer avancerad vallning av l�ngdskidor d�r en m�tprob sticks ner i sn�n. Dessa �r mycket exakta men �ven en vanlig termometer fungerar f�r �ndam�let.
Istemperatur kan m�tas med en typ av scanner som anv�nder sig av infrar�tt ljus. Av v�gl�ngden som reflekterats i isen kan temperaturen hos ytan man.
Lufttemperatur � �ven detta kan m�tas med instrument som anv�nds vid l�ngdskid�kning. Det finns instrument kallade Thermohygrometer som kan m�ta b�de lufttemperatur och relativ luftfuktighet vilket ocks� �r en parameter v�rd att unders�ka. F�r att vara exakt beh�vs m�tning av luftens �ngtryck och konvektion i kontakten mellan luft och isyta. Den relativa luftfuktigheten �r alltid ca 100 % vid ytan.
Sn�- och ish�rdhet �r en annan parameter som b�r beaktas. N�r h�rdheten m�ts p� relativt mjuka material kan ett skraptest utf�ras. Ett s�dant skraptest skulle kunna best� av ett h�rt metallstift som skrapar i en flack vinkel mot ytan. Kraften kan d� m�tas i tv� vinkelr�ta riktningar. Det skulle ocks� fungera att l�na m�tmetoder fr�n h�rdhetsm�tningar av metaller d�r Vickers och Brinell �r vanliga metoder d�r en spets av v�ldefinierad form trycks med en exakt kraft in i materialet. Avtryckets m�tt m�ts sedan och behandlas med en formel som ger ett svar p� h�rdheten, portabla och exakta utrustningar som utf�ra dessa test finns p� marknaden.
Storlek och form p� sn�/iskristaller kan unders�kas med den utrustning som idag anv�nds av skidpatruller som arbetar med att s�kra skidomr�den ur lavinsynpunkt. Med lupp och ett kort med olika stora rutn�t som kristallen l�ggs p� kan storleken unders�kas. Kristallens form utreds p� liknande s�tt genom anv�ndning av lupp och j�mf�relse med fotograferade kristaller i ett register.
Solinstr�lning b�r m�tas d� detta kan p�verka isen/sn�n. Detta kan m�tas med en pyranometer. Str�lningsbalansen, dvs. skillnaden mellan in- och utstr�lning �r en intressant parameter att unders�ka.
Elektrisk ledningsf�rm�ga och joninneh�ll hos is/sn� underlaget. Detta utf�rs genom att prov av underlaget samlas in och sm�lts f�r att sedan unders�kas. Vid analys av sm�ltan kan �ven unders�kning av partiklar t.ex. sand g�ras.
Topografi � Att studera ytans topografi kan vara mycket intressant. Det kr�vs avancerad utrustning t.ex. en 3d-scanner, optisk topometer eller liknande som klarar av att arbeta i utomhusmilj�.
6 Friktionsm�tare idag � benchmarking
Ett antal f�retag/produkter bes�ktes och unders�ktes p� Internet. Syftet var att ta reda p� vilken verksamhet de driver och vilken typ av produkter s� som m�tare, sensorer och tekniker de anv�nder sig av eller utvecklar.
6.1 Studiebes�k
Fyra f�retag bes�ktes under en studiebe�ksresa. Resan gav en bra inblick hur det idag arbetas inom omr�det. Tv� av de bes�kta f�retagen �r verksamma inom flygindustrin och de andra tv� inom v�gtransportsektorn.
6.1.1 ASFT � Airport Surface Friction Tester AB
P� en sk�neg�rd utanf�r Ystad ligger f�retaget ASFT. Leif Graflind, VD p� f�retaget, visade runt under studiebes�ket. ASFT �r en f�rkortning av Airport Surface Friction Tester och �r forts�ttningen p� den friktionsm�tbil som SAAB utvecklade fr�n slutet av 1960-talet och fram�t under namnet SFT, Saab Friction Tester. SFT, vars grund var en SAAB 99 som utrustades ett femte hjul (figur 9), ett hjul f�r att m�ta friktionen mot start och landningsbanor p� flygplatser. Idag finns utrustningen tillg�nglig i flertalet moderna bilar. Via kedjor, drev och en egenutvecklad bakaxel �r m�thjulet sammankopplat med bakhjulen.
Tekniken som anv�nds �r s.k. Fixed Slip och utv�xlingen �r s�dan att m�thjulet snurrar n�got l�ngsammare i f�rh�llande till bakhjulen, med ett konstant slip p� 13 %. Sp�nningen som uppst�r i kedjan �r proportionell mot friktionstalet �. Sp�nningen i kedjan omvandlas till analoga signaler och ett friktionstal erh�lls. Bilarnas fj�dring i bakvagnen modifieras d� bilarna utrustas vattentankar f�r att bevattna v�glaget. Anledningen till att vatten anv�nds vid m�tning av landningsbanors friktion �r att n�r en jumbojet landar avl�gsnas ca 4 kg gummi fr�n de 16 d�cken. Detta gummi s�tter sig i landningsbanan och �worst case� ur friktionssynpunkt uppst�r d� vatten hamnar ovanp� den gummiimpregnerade ytan.

figur 9 - ASFT�s m�thjul.
N�r m�tningen �r slutf�rd kan m�thjulet hissas upp via hydraulik och bilen kan anv�ndas som en vanlig transportbil. Med hj�lp av hydrauliken appliceras en last p� 140 kg p� m�thjulet under m�tningarna. Samma system finns �ven att tillg� inmonterat i en sl�pvagn. Leif tipsade om Zoltan Rado p� Penn State University. Zoltan �r den som kan mest inom friktionsomr�det n�r det g�ller v�glagsm�tningar och universitetet han jobbar vid �r teoretiskt l�ngst komna.
6.1.2 SARSYS
Scandinavian Airport and Road Systems AB i Trelleborg utvecklar en liknande utrustning som ASFT, dock finns det en del skillnader. Patric Ling som �r teknisk chef visade runt och deltog i intressanta diskussioner. SARSYS anv�nder sig av Fixed Slip metoden och f�r att f� drivning p� m�thjulet har bakre h�gra hjulupph�ngningen omkonstruerats. En ledad axel som kopplas fr�n navet i h�ger bakhjul till m�tsystemet har utvecklats och driver m�thjulet
Patric st�llde intressanta fr�gor som b�r beaktas, bl.a. om det avses att utrustningen skall m�ta friktion i ett hjulsp�r och i s� fall vilket? Man str�var efter att ha viss lutning p� v�gbanan (ca 3�) f�r avrinning av regnvatten. I Norge g�rs m�tningar i det v�nstra hjulsp�ret. Vatten/sm�ltvatten har tendens att hamna i det h�gra hjulsp�ret p.g.a. lutningen och att slitage g�r hjulsp�ren som �r�nnor�. En annan fundering fr�n Patric �r om inte �worst case� uppst�r vid sidan av hjulsp�ren d� dessa tenderar att bli sn�fria vid viss m�ngd trafik.
6.1.3 VTI
Statens v�g- och transportforskningsinstitut, VTI, i Link�ping bes�ktes f�r att se hur de arbetar och vilken utrustning de har utvecklat. Bengt W�livaara visade runt och instruerade hur deras utrustning till viss del fungerade. En del av utrustningen var konfidentiell f�r projektet d� examensarbetet uppfattades som konkurrerande till den verksamhet som VTI bedriver.
Bengt st�llde t�nkv�rda fr�gor och gav information och tips g�llande saker som i framtiden kan vara mycket v�rdefulla f�r forskningsprojektet vid Ltu, t.ex. vilket krav p� toleranser som �r satta p� testriggen och vikten av att utveckla ett stabilt och bra kalibreringsf�rfarande. Under studiebes�ket visades friktionsm�tvagnen BV-11 upp som �r en sl�pvagn utvecklad av VTI med tv� standardhjul samt ett tredje m�thjul. Vagnen v�ger ca 350kg och den last som appliceras p� m�thjulet �r ca 100kg, tekniken �r av �ldre modell men tillf�rlitlig.
Friktionsm�tarlastbilen BV-12 visades ocks� upp, detta �r en 12 tons lastbil med ett m�thjul med fixed slip som �r monterat p� bak�ndan av lastbilen. F�r projektet �r detta m�tfordon intressant d� man kan vrida p� m�thjulet s� att sidokrafter uppst�r vilket �r satt som ett av �nskem�len p� projektets m�tutrustning. Det visade sig dock att BV-12, trots sin vikt, uts�tts f�r m�rkbar avdrift d� m�thjulet snedst�lls. Enligt Bengt �r det inte aktuellt att montera en s�dan utrustning i en sl�pvagn. Denna b�r ist�llet monteras p� ett stabilt och oledat ekipage med relativt h�g vikt.
Bengt informerade �ven om en mycket anv�ndbar givare f�r hjulnavsm�tning fr�n det Schweiziska f�retaget Kistler. Givaren vid namn RoaDyn m�ter moment och krafter treaxligt och kan vara mycket anv�ndbar.
6.1.4 Coralba
Robert Sundqvist p� f�retaget Coralba kontaktades f�r att f� hans syn p� friktionstestning och lite tips och id�er. Coralba �r ett f�retag som grundades i slutet av 70-talet och har sedan dess varit ledande p� marknaden f�r trippm�tare b�de inom rallysporten och som m�thj�lpmedel f�r verksamheter inom infrastrukturen. Som till�gg har en funktion utvecklats som m�ter friktionen med hj�lp av bilens bromssystem. Coralbas friktionsm�tare (figur 10) �r idag den m�tare som anv�nds av V�gverket i Sverige och dess motsvarighet i Norge och Finland. Systemet anv�nder sig av retardationsmetoden d�r fordonet k�rs i ca 70km/h, motorn frikopplas och sedan tv�rbromsas hela ekipaget. Med hj�lp av bilens system och erh�llna data som bromsstr�cka och hastighet f�re och efter inbromsningen kan ett v�rde p� � ber�knas.

figur 10 - Friktionsm�tare fr�n Coralba
Under f�rvintern har Coralba bedrivit kalibrering av sina kunders instrument p� olika platser i Sveriges inland. Examensarbetarna blev inbjudna f�r att delta vid ett s�dant tillf�lle med syfte att bekanta sig med retardationsmetoden som hittills bara hade studerats via Internet och att f� insikt i hur kalibrering kan utf�ras av friktionsm�tutrustning. Platsen som bes�ktes var Bjurholm ca 6 mil v�ster om Ume�. Fordonen utrustade med Coralba friktionsm�tare som skulle kalibreras kom fr�mst fr�n V�gverkets regioner Ume� norra, Ume� s�dra och V�nn�s. �ven Skanska m.fl. hade fordon p� plats. Som referens anv�ndes en friktionsm�tvagn av typ BV-11 fr�n VTI, kalibreringsprotokollet finns som bilaga. Se Bilaga II.
V�glagets friktion m�ts f�rst med friktionsm�tvagnen och anv�nds sedan som referensv�rde. F�r fordonen utrustade med Coralba noteras tj�nstevikt, typ av d�ck (fabrikat, storlek, dubb eller friktionsd�ck), d�ckstryck och m�nsterdjup. Det �r viktigt att dessa parametrar h�lls s� konstanta som m�jligt under hela s�songen f�r att v�rdena skall h�lla h�gsta m�jliga korrekthet.
F�rsta momentet i kalibreringsprocessen �r att utf�ra en distansm�tning p� en uppm�tt str�cka som �r 1000m. Om Coralban inte visar 1000m s� m�ste distansfunktionen kalibreras d� distansm�tning �r en ing�ende och viktig faktor vid friktionsm�tningen n�r bromsstr�ckan m�ts. F�r att utf�ra kalibreringen av friktionsm�tningen utf�rs sedan en serie om sex friktionsm�tningar p� den av BV-11:an i f�rv�g uppm�tta friktionsm�tstr�ckan. Ett medelv�rde av de sex m�tningarna r�knas sedan ut.
F�r att kontrollera friktionsm�tstr�ckan igen utf�rs ytterligare m�tningar av BV-11:an. Referensv�rdet som BV-11:an levererar divideras med det medelv�rde som respektive provfordon m�tt upp. Det v�rde som erh�lls �r kalibreringsv�rdet som sedan l�ggs in i friktionsm�taren som en korrektionsfaktor till friktionsber�kningsformeln. F�r att kontrollera att kalibreringen �r korrekt utf�rd skall fyra kontrollm�tningar utf�ras, dessa skall ge v�rden n�raliggande de som uppm�tts med BV-11:an.
6.2 Unders�kning p� Internet
Ut�ver studiebes�k hos tidigare n�mnda f�retag gjordes ett flertal s�kningar p� Internet med n�gra intressanta tr�ffar som resultat. F�r vidare information om dessa h�nvisas till ett antal webbadresser i referenslistan.
6.2.1 Douglas Equipment � Mu-meter
Douglas Equipment grundades 1947 och bedriver sin verksamhet i Cheltenham, England. F�retaget har blivit en v�rldsledande leverant�r av bogsertraktorer f�r flygplan. Man har �ven utvecklat en friktionsm�tvagn f�r start och landningsbanor, se figur 11. Denna utrustning heter Mu-meter och �r en friktionsm�tare av trailertyp med en vikt p� 256 kg.
Mu-meter �r speciell s� till vida att den m�ter sidofriktionen p� d�cken genom att de tv� m�thjulen s�tts i 7.5� toe out position. Med hj�lp av ett tredje hjul som m�ter avverkad distans och en lastcell som m�ter den kraft som vill dra is�r m�thjulen p� grund av toe out vinkeln kan ett v�rde p� v�glagets friktion levereras. Vagnen ansluts till en laptop som behandlar signalerna fr�n sensorerna och genererar den data som efterfr�gas. Tester utf�rs normalt i hastigheten 40 miles/h (~64km/h).

figur 11 - Mu-meter
6.2.2 Findlay Irvine � Griptester
Det skotska f�retaget Findlay Irvines Griptester utvecklades under 1980 talet i samarbete med Cranfield University i England. Sedan 1987 har Griptester levererats till flygplatser och v�gv�sen runt om i v�rlden. Griptester (figur 12) �r en liten, kompakt vagn som fr�mst dras efter ett fordon men den finns �ven som en portabel version framdriven av handkraft. Griptester v�ger 85 kg och kan anv�ndas i hastigheter fr�n 5km/h till 130 km/h.
Metoden som anv�nds f�r att m�ta friktionen kallas Braked wheel �ven kallad Fixed slip och fungerar s� att vagnens tredje hjul �r l�nkat till de b�da andra hjulen. L�nkaget genererar en bromverkan s� att 15 % slip uppst�r. Sedan m�ts momentet p� det tredje hjulets axel. Vagnen �r PC kompatibel och med en laptop kan all data samlas in i det fordon som utf�r testet.

figur 12 - Griptester
6.2.3 Norsemeter � Roar och Runar
Norsemeter �r ett norskt f�retag som har utvecklat olika typer av d�ckfriktionsm�tare exempelvis Roar och Runar, se figur 13. Dessa m�tutrustningar �r av p�h�ngstyp till antingen en bil, lastbil eller sl�pvagn. Tekniken som anv�nds �r s.k. variable slip technique dvs. att bromskraften p� m�thjulet kan varieras fr�n fritt rullande till n�stan l�st och d� uppst�r en mer eller mindre glidning mot v�glaget. Detta sker inom loppet av mindre �n en sekund, sensorer och en dator genererar en kurva (�-slip speed kurva) d�r maximal friktionskoefficient �, kan utl�sas.
Norsemeter har �ven utvecklat en egen mjukvara, Norsemeter STUDIO - Pavement Surface Expert, som levererar den fakta �ver v�glagets ytkarakteristik som anv�ndaren efterfr�gar som friktion, mikro och makro ytstruktur.

figur 13 - Roar & �-slip speed kurva
7 M�tmetoder d�ckfriktion
F�r att m�ta d�cksfriktion mot v�glag har ett flertal olika m�tmetoder utvecklats. Dessa metoder anv�nder sig av olika principer f�r att utf�ra m�tningen. Nedan f�ljer en presentation av de vanligast f�rekommande. Informationen �r funnen p� Internetsidor och adresser �terfinns bland webreferenser.
7.1 Fixed Slip
Utrustningen f�r m�tning med metoden Fixed Slip best�r av ett bromsat m�thjul som m�ter glidmotst�ndet f�r den valda testytan, ofta anv�nds en bil eller sl�pvagn f�r denna typ av friktionsm�tning men ibland ocks� lastbilar. Om testytan �r ren och torr b�r den sprutas med en viss m�ngd vatten precis framf�r m�thjulet. Systemet registrerar bromsfriktionen l�ngs hela teststr�ckan och kan leverera m�tv�rden f�r valda segment av str�ckan.
Metoden st�mmer inte alltid �verens med andra m�tmetoder men syftet med Fixed Slip �r att kunna j�mf�ra ett underlag mot ett annat eller unders�ka hur friktionen f�r ett underlag f�r�ndras under en viss tid. V�rdena som erh�lls �r otillr�ckliga f�r att kunna ber�kna hur l�ng stoppstr�cka ett fordon beh�ver vid en viss hastighet och kan heller inte ge svar p� vid vilken hastighet som kontrollen �ver fordonet g�r f�rlorad p.g.a. att topp och sidokraftsfriktion m�ste beaktas.
7.2 Variabelt Slip
Testmetoden m�ter longitudinell friktion med en utrustning som anl�gger en bromskraft s� att glidning uppst�r mellan d�ck och v�gytan. Glidningen kan kontrolleras fr�n fritt rullande till l�st hjul. Metoden g�r ut p� att flertalet m�tningar g�rs med en v�xande p�lagd bromskraft p� m�thjulet samtidigt som m�tutrustningen dras �ver teststr�ckan. M�thjulets rotationshastighet kontrolleras f�r att ge en i f�rv�g best�md variabel glidratiogradient. En konstant last �r applicerad p� m�thjulets axel och den longitudinella hastigheten h�lls of�r�ndrad
De uppm�tta v�rdena motsvarar friktionen uppm�tt med enbart denna metod och �verensst�mmer inte alltid korrekt med andra metoder. V�rdena �r �mnade att j�mf�ra bromsfriktionskraften mellan olika underlag och att unders�ka f�r�ndring av bromsfriktion f�r en viss typ av underlag �ver tiden och efter slitage. Att utv�rdera ett specifikt d�cks bromsfriktion �r ocks� ett av metodens omr�den. Liksom f�r Fixed Slip g�ller att erh�llna v�rden �r otillr�ckliga f�r exakta ber�kningar av stoppstr�ckor mm.
7.3 Retardationsmetoden
Denna metod ger b�st resultat med ABS-bromsar men fungerar �ven utan. Hela fordonet anv�nds som m�tvagn. En typisk testprocedur g�r till enligt f�ljande. Fordonet k�rs i ca 70km/h, motorn frikopplas och sedan tv�rbromsas fordonet i minst 2 sekunder. Med hj�lp av bilens system och erh�llna data fr�n m�tutrustningen som t.ex. bromsstr�cka och retardation kan man sedan f� ett v�rde p� �. Denna metod �r mer avancerad s� till vida att den anv�nder sig av bilens system och inte n�gon extra mekanik. System som anv�nder sig av denna metod �r inkopplingsbara i alla bilar. Korrigeringsv�rden f�r vindmotst�nd och effekten av uppf�r och nedf�rsbackar kan programmeras in i m�tutrustningen. M�jligheterna �r stora med detta system, f�raren kan f� varningar p� en display och med ljudsignal om att halka r�der.
7.4 Portable Skid Resistance Tester � Pendulum Tester
Utrustningen best�r av en portabel st�llning med en pendel, se figur 14. Med pendeln kan punktm�tningar utf�ras och den passar inte f�r m�tning av l�nga v�gstr�ckor. Den kan m�ta tv� olika v�rden, PSV och SRV.
PSV, Polished Stone Value, ger ett v�rde p� hur stort motst�nd v�gstenar, som v�glag till stor del best�r av, har mot den polerande effekt som uppst�r av d�cken. Graden av polerade v�gstenar har en stor p�verkan p� n�r d�cken b�rjar glida. SRV, Skid Resistance Value, �r v�rdet p� hur stort motst�nd som v�gytan har mot att glidning uppst�r.

figur 14 - Pendulum tester
Instrumentet �r en enkel och h�llbar konstruktion med en okomplicerad testprocedur. Med en knapptryckning sl�pps pendeln fr�n sin horisontella position. N�r den n�r botten p� sin b�gformade bana kommer pendeln i kontakt med v�gytan. H�jden som pendeln n�r p� den motsatta sidan fr�n startl�get kan sedan omvandlas till v�gytans glidmotst�nd. Ju h�gre motst�nd som v�gytan genererar desto l�gre kommer pendeln att n�. En visare f�ljer med pendeln upp och stannar p� dess h�gsta l�ge och kan sedan l�sas av mot en skala.
De problem som kan uppst� vid anv�ndning av Portable Skid Resistance Tester �r stor spridning p� resultaten d� testutrustningen �r k�nslig f�r felaktig uppst�llning. Om inte utrustningen kan riggas s� att gummiklacken i det n�rmaste f�r exakt samma grad av kontakt mot v�gytan vid alla tester kommer repeterbarheten och j�mf�rbarheten att kraftigt reduceras, �ven en oj�mn v�gyta bidrar till samma effekt.
8 Kravspecifikation 1 � testutrustning
Detta kapitel tar upp de krav som var uppsatta som riktlinjer f�r det begynnande arbetet. De flesta av kraven var satta men ett antal har tillkommit som framtida spekulationer. Kapitlet avslutas med en utv�rdering av denna f�rsta kravspecifikation.
8.1 Krav och framtidsspekulationer
N�r forskningsprojektet D�ckfriktion i vinterv�glag startades och detta delarbete best�mdes var kunskapen inom omr�det liten. Mycket kunnande inom friktionsomr�det fanns p� universitetet men inga praktiska erfarenheter n�r det g�llde friktionsm�tning av bild�ck i vinterv�glag. Olika t�nkbara intressen och krav p� en t�nkt testutrustning sattes upp f�r att f� en ungef�rlig bild av vad som skulle kunna bli en m�ls�ttning. Inneh�llet i specifikationen skulle unders�kas och utv�rderas f�r att f� en b�ttre bild p� dagens marknad och en mer passande kravspecifikation skapas med mer kunskap inom omr�det bakom besluten.
Nedan beskrivs kraven i fyra olika kategorier, de tv� f�rsta inneh�llande krav som gavs fr�n b�rjan med enstaka till�gg, medan de tv� senare �r allm�nna till�gg som tillkommit d� de tycktes kunna vara intressanta i framtiden.
8.1.1 St�llda krav p� testutrustningen
Huvudsyftet med testutrustningen som utvecklas �r att den med en bra noggrannhet b�r kunna m�ta friktionstalet mellan d�ck och vinterv�glag. Utrustningen skall vara konstruerad p� ett s�dant s�tt att den med l�tthet kan man�vreras av en person och att testet som utf�rs skall vara snabbt f�r att p� kort tid kunna testa en m�ngd d�ck med olika m�nster samt gummilegering. Detta kr�ver att byte av komplett hjul mellan testerna �r enkelt och inte fysiskt p�frestande p� ett oergonomiskt s�tt. Testutrustningen b�r vara av s�dan karakt�r att den framf�rs av annat fordon f�r att underl�tta anv�ndandet samt anv�ndningsomr�det.
M�tv�rden som testutrustningen skall m�ta �r accelerations- samt retardationsfriktion, vilken m�tmetod som skall till�mpas f�r varje moment �r en del av arbetsuppgiften som skall utf�ras. De m�tdata som samlas in under en m�tning skall p� snabbt och informativt s�tt kunna utl�sas p� en dator. Proceduren f�r en m�tning skall vara enkel och inte alltf�r komplicerad d� det finns visioner om framtida marknad bland olika testf�retag som ser en enkel testutrustning som stor f�rdel.
F�r att uppn� m�let med att kunna st�lla upp ett samband mellan d�ckets egenskaper och vinterv�glaget kr�vs ocks� att utrustningen kan karakterisera underlaget som testet utf�rs p�. En s�dan karakterisering kan inneh�lla parametrar som lufttemperatur, sn� temperatur, luftfuktighet, h�rdhet p� underlag, ytstruktur, mm.
8.1.2 �nskv�rda krav p� testutrustningen
Projektet skall �ven str�va efter att kunna m�ta transversell friktion och vridmoment som uppst�r vid situationer som sv�ngning i olika hastighet samt stillast�ende. En l�sning p� detta krav skulle g�ra installation av h�ghastighetskamera extra intressant f�r att kunna studera hur d�cket deformeras under de olika testmomenten.
8.1.3 Allm�nna krav p� testutrustningen
Testutrustningen har en del sj�lvklara krav som inte f�r f�rbises, d�ribland att den kommer nyttjas i ett kr�vande vinterklimat med allt vad det inneb�r. Sn� som yr, slask som skv�tter, saltat och sandat underlag, temperaturer som varierar fr�n strax �ver 0�C till extremare temperaturer ned�t -30�C. M�tinstrumenten som kommer att sitta monterade m�ste sitta i en skyddad milj� s� att driftstopp inte sker pga. n�gon av ovan n�mnda saker.
F�r att testutrustningen inte ska falla in i samma fack som redan befintliga m�tvagnar �nskas en ergonomisk design som �r tilltalande och som visar att det �r n�got speciellt. �ven viss h�nsyn till aerodynamik �r �nskv�rt d� utrustningen kan komma att framf�ras i h�gre hastigheter �n normalt f�r ett p�kopplingsbart sl�p.
Ett krav p� utrustningen var att man snabbt skulle kunna �screena� en stor m�ngd d�ck. Att d� kunna transportera alla d�ck som ska testas p� samma vagn skulle underl�tta en massa samt minska hanteringen av d�ck mellan eventuell f�ljebil och testutrustning.
8.1.4 T�nkbara funktioner i framtiden
Syftet med testutrustningen som skall konstrueras i detta projekt �r att den kommer vidareutvecklas, utrustas med olika m�tutrustning samt andra m�jliga funktioner. Att kunna testa olika d�ckdimensioner, b�de diametral samt bredd, kan vara intressant. Detta kr�ver extra tanke vid konstruktionen av det som kommer att bli testhjulets upph�ngning. Viss m�jlighet att kunna variera bultdelning beroende p� f�lg som anv�nds �r en bra sak att ha i �tanke, d� det kan finnas flera olika intressenter av den f�rdiga produkten.
Tanken �r att det p� testutrustning skall finnas en v�gkarakteriseringsenhet men att �ven utveckla m�jligheten att sj�lv kunna preparera underlaget vore en enorm m�jlighet. Att t.ex. kunna hyvla, polera eller kanske vattna underlaget kontrollerat, skulle leda till mindre parametrar att ta h�nsyn till.
8.2 Utv�rdering av kravspecifikation 1
Efter knappt tv� m�naders arbete presenterades de unders�kningar som gjorts och de slutsatser som kunde dras diskuterades, f�r att p� b�sta s�tt kunna ta beslut om det fortsatta arbetet. Det som konstaterades var att om de ursprungliga intressena och kraven skulle f�ljas, skulle resultatet f�r detta arbete bli ett konstruktions- samt funktionsl�sningsf�rslag. Testutrustningen skulle bli v�ldigt avancerad och mer tid �n vad som var tillg�ngligt skulle vara n�dv�ndigt att l�ggas p� den i framtiden.
Ist�llet best�mdes att en ny inriktning skulle v�ljas och m�let en okomplicerad testutrustning som p� enkelt s�tt skulle kunna m�ta friktionstalet f�r en liten arbetsyta. En f�rdig testutrusning �nskades ocks� f�r att tester skulle kunna g�ras s� fort som m�jligt, och mer erfarenhet inom omr�det uppn�s.
9 Kravspecifikation 2, testutrustning
Detta kapitel behandlar den f�r�ndrade kravspecifikation som arbetats fram efter att den unders�kande fasen genomg�tts och ursprungliga intresset �ndrats samt en ny inriktning best�mts.
Nedan �terfinns de krav som arbetades fram efter att mer kunskap inom d�ckfriktionsomr�det samlats in under unders�kningsarbetet. Anledningen till att en ny kravspecifikation togs fram var att den ursprungliga var lite f�r avancerad f�r ett nystartat forskningsprojekt. Intresset skulle ist�llet rikta sig mot att f� mer f�rst�else inom omr�det f�r att senare utveckla vidare en till en b�rjan enklare modell. Den nya kravspecifikationen har f�tt med sig en hel del krav fr�n den ursprungliga men blivit mer inriktade p� enkelhet och okomplicerade l�sningar. Kraven har tagits fram i samr�d med framf�rallt Roland Larsson och Elisabet Kassfeldt.
9.1 Kravtabell
I f�ljande presenterade tabell �terfinns alla de krav som satts upp f�r testutrustningen, se tabell 2. De �r indelade i fyra kategorier f�r att ge en b�ttre �verblick �ver de ber�rda omr�dena. Kategorierna �r funktions-, m�tnings-, handhavande- samt konstruktionskrav och �r inom varje kategori sorterade med h�gst prioritet �verst och sedan i fallande ordning.
F�ljande personer ut�ver examensarbetarna, (TA, DJ), var delaktiga under framtagandet av kraven, Roland Larsson (RL) och Elisabet Kassfeldt (EK), �ven listade i kravtabellen. Kolumnen med kravst�llare kan ses som vem/vilka som kommit med kravf�rslaget, alla krav �r sedermera godk�nda. �nskem�l fanns om att f� Michelins �sikt, men de kom med v�ldigt sent i arbetet. Deras �nskem�l var mer riktade �t arbetets f�rsta inriktning och hade d�rf�r inte s� stor inverkan d� det var best�mt att en enklare testrigg var av st�rst intresse vid framarbete av den slutgiltiga kravspecifikationen.


tabell 2 - Slutgiltig kravspecifiketion
9.2 Kostnadskrav
Ut�ver den punkten i kravtabellen som ber�r helhetskostnaden skall �ven en kostnadskalkyl tas fram f�r det slutgiltiga konceptet. Framtagandet av testriggen m�ste h�lla rimliga gr�nser och ge en god kostnadseffektivitet framf�rallt g�llande tillverkning av detaljer. Instrument, kameror och liknande kan anv�ndas p� institutionen inom andra projekt, i kapitel 12 kan en kostnadskalkyl studeras.
9.3 Tillverkning
Tillverkningen av testutrustningen kommer i den m�n det g�r, att tillverkas i universitetets lokaler. Mer komplicerade moment blir utlejt p� f�retag med r�tta kompetensen. Den slutgiltiga monteringen av alla detaljerna kan ske i Tribolab n�r dessa �r tillverkade.
9.4 Viktningsmatris
Med best�mda krav kunde en viktningsmatris skapas d�r de fyra kategorierna inf�rdes. Viktningsbetyg diskuterades fram och ut�ver fallande placering fick nu varje krav ett betyg mellan 0-5 f�r att indikera dess mer exakta prioritering. Viktningsmatrisen skapades f�r att p� ett enkelt s�tt kunna j�mf�ra alla koncepten med varandra, mer om detta g�r att l�sa i konceptviktningskapitlet.
10 Konceptgenerering
Kapitlet tar upp hur konceptgenereringen g�tt till med olika brainstormingsessioner samt resultatet av dessa som finns beskrivet och illustrerat.
10.1 Brainstorming
Under arbetets g�ng har ett antal brainstormingsessioner ordnats, till en b�rjan med syfte att f� en mer bred och varierad syn p� uppgiften och vartefter arbetet g�tt fram�t har de blivit mer m�linriktade. Sessionerna har skett b�de sm�skaligt och i st�rre skala, de mindre inb�rdes och den st�rsta ordnades p� Caran i G�teborg. Flera oberoende parter har involverats i dessa aktiviteter vilket har gett flera synvinklar p� problemet och lett till en hel del eftertanke. Karakt�ren och syftet med tv� sessioner beskrivs i f�ljande underkapitel, en i arbetets b�rjan och en efter att den nya kravspecifikationen best�mts.
10.1.1 F�rstudiebrainstorming
N�r teoretiska unders�kningar gjorts och ett antal f�retag inom friktionsbranschen bes�kts ordnades en brainstormingsession p� Caran i G�teborg. Ett antal oberoende parter hade bjudits in och f�tt en kort briefing vad arbetet handlade om. D� m�let med sessionen var att f� nya id�er och en ny syn p� problemet fick de deltagande inte ta del av exakt allt som unders�kts, utan i det korta var det den f�rsta kravspecifikationen som presenterades innan sessionens b�rjan.
Inga gr�nser sattes g�llande realiserandet av id�erna s� resultatet blev mycket varierande fr�n enkla och okomplicerade l�sningar till raka motsatsen. Det som framf�rallt kom fram under sessionen var en m�ngd sm� problem och fr�gest�llningar som skulle beh�va l�sas eller definieras b�ttre i kravspecifikationen. N�gra av dessa saker kan l�sas i punktform nedan.
- Sv�ngprov vid hastighet kan bli sv�rt d� avdriften kan bli sv�rhanterad. M�jligheten att anv�nda en typ av sv�ngarm eller glidskeneupph�ngning unders�ks.
- Hur smidig skall utrustningen vara? Ska B-k�rkort vara l�gsta kravet?
- Hur noggrann skall m�tningen vara? Skall den vara j�mf�rbar med BV11? Vilka �r intressenterna? V�gverket har visat intresse av en ny testvagn.
- Skall testerna utf�ras p� allm�n v�g m�ste den kanske besiktas.
- F�ruts�tts att en karakteriseringsutrustning utvecklas?
- �r riggen t�nkt att vara en avancerad och utvecklingsbar s� b�r Michelin involveras d� utrustning kostar pengar. Ett mycket l�mpligt m�tinstrument �r en Kistlergivare, dock v�ldigt dyr. En h�ghastighetskamera kostar r�tt mycket men intresset f�r den finns och tekniken erk�nt bra.
- Hur skall variabel slip/spin uppn�s utan kedjor/rem och v�xell�da? Olika alternativ �r hydraulmotor, elektromagnet, skivbroms/ABS.
- Vart �r det egentligen intressant att m�ta? I hjulsp�r eller vid sidan om?
- Verkligt tryck p� hjulet kan medf�ra problem, i alla fall n�r det g�ller vridning av hjulet.
- V�gbanans lutning �r ca 3� och g�r att eventuellt regn-/sm�ltvatten har en tendens att samlas i det h�gra hjulsp�ret.
10.1.2 Fortsatt brainstorming
Resultatet av de grundl�ggande f�rstudierna och brainstormingsessionerna presenterades och all information kr�vde en noggrann granskning d� definitivt m�l och inriktning skulle best�mmas. D� kunskapen inom omr�det var relativt begr�nsad kr�vdes en lite l�ngre f�rstudie f�r att se det f�rst uppsatta kraven skulle vara rimliga.
N�r informationen fr�n f�rstudierna granskats och diskuterats best�mdes att en mindre komplex inriktning skulle v�ljas, d� det i ett f�rsta stadium skulle vara sv�rt att tillgodose alla behov och �nskem�l. Det prim�ra intresset sattes till att snabbt utveckla en testutrustning som skulle kunna anv�ndas vid inl�rningsfasen av detta f�r institutionen nya omr�de. Den fortsatta konceptutvecklingen gjordes efter den nyutvecklade kravspecifikationen och en st�rre m�ngd koncept togs fram under en dryg m�nads tid. Denna g�ng med ett sn�vare omr�de och mer precist eftersom kraven var mer definierade och ett klarare m�l uppsatt.
10.2 F�rstudiekoncept
I f�ljande underkapitel finns de intressantaste koncepten som tagits fram kort beskrivna. Alla koncept fr�n f�rstudien finns att l�sa mer om i Bilaga III, d�r �ven illustrationer finns till dem.
F�rstudiekoncepten �r de koncept som togs fram vid brainstormingsessioner i slutet av unders�kningsfasen. Huvudsakliga syftet med dessa var att se alla m�jligheter som fanns f�r att l�sa problemet och om vissa kunde vara b�ttre �n andra, de skulle �ven vara till stor hj�lp vid val av definitiv inriktning och m�l.
10.2.1 F�rstudiens huvudkoncept
Detta koncept �r det av f�rstudiekoncepten som mest tid, tanke och energi lades p�. Konceptet �r i sin helhet ganska tekniskt avancerat, dock baserad p� redan k�nda metoder som unders�kts och som visat sig vara b�st l�mpade f�r problemet. Metoden som skulle till�mpas var fixed slip, en metod d�r ett extra hjul m�ter friktionen mellan d�ck och underlag �ver en l�ngre str�cka. M�tningen sker vid k�rning och det m�tningen ger �r en graf som visar den varierande friktionen �ver en viss str�cka, det som sedan best�ms �r ett medelv�rde av friktionskoefficienten.
Konceptet bygger p� samma princip som idag anv�nds vid fixed slip m�tning fast med en omfattande utveckling av tekniken. M�thjulet som �r monterat p� en arm (nr 1 figur 15), likt bakhjulet p� en motorcykel, belastas med en hydraulcylinder som g�r kontakttrycket s� verklighetstroget som m�jligt. Utrustningen �r inte som de idag existerande fixed slip l�sningarna vars utv�xling �r konstant med en kedja eller rem. Ist�llet skapas �nskv�rt slip med hj�lp av datorkraft och reglertekniska program som bromsar hjulet med en vanlig hydraulisk broms eller en elektromagnet (nr 3 figur 15) till en programmerad hastighet som beror p� hastigheten som fordonets hjul roterar med. P� detta vis kan �ven m�tningar med variabelt slip utf�ras. Se n�sta sida f�r konceptskiss, figur 15.
Sj�lva m�tningen g�rs l�mpligen med hj�lp av en kraft- och momentsensor (nr 2 i figur 15). En s�dan har studerats fr�n f�retaget Kistler. Deras produkt RoaDyn �r utvecklad f�r montering mellan ett fordons nav och hjul och m�ter krafter och moment i och kring 3 axlar (x, y och z).
Konceptet �r utvecklat s� att hjulnavet kan vridas i sm� vinklar s� att hjulet snedst�lls och de transversella krafter som uppst�r p� d�cket kan m�tas. Detta �r ett riskfyllt moment och m�ste g�ras med stor f�rsiktighet d� ekipagets kursstabilitet kan p�verkas kraftigt �ven vid sm� vinklar. Data skickas fr�n m�tutrustningen in till dragbilen via bluetooth eller annan tr�dl�s data�verf�ring, p� s� vis kr�vs ingen anslutning av andra kablar �n sl�pvagnens kontakt med bilen och sl�pvagnen �r helt oberoende av vilket fordon som drar.
Med hj�lp av en enkel touchscreen �r det t�nkt att ett test skall kontrolleras. Det inleds med att en modul som utf�r v�glagskarakteriseringen m�ter luftfuktighet, temperatur, mm. V�glagets temperatur �r t�nkt att m�tas med infrar�tt ljus (befintlig teknik). N�r den m�tningen �r utf�rd sker en rad friktionsm�tningar i f�ljd och det enda testutf�raren skall beh�va g�ra �r att f�lja instruktionerna som visas p� sk�rmen. Instruktionerna inneb�r f�rflyttning av fordonet mellan stillast�ende m�tningar som start- samt vridfriktion och acceleration till de best�mda hastigheter som broms- och accelerationsfriktion valts att utf�ras vid. Efter utf�rd testcykel byts d�ck och ett nytt testas snabbt och effektivt.

figur 15 - F�rstudiens huvudkoncept
10.3 Slutkoncept
Slutkoncepten �r de koncept som �r framarbetade efter att den definitiva kravspecifikationen best�mdes. Alla med funktionen att endast m�ta en liten yta �t g�ngen med f�rhoppning att f� mer kunskap om kontaktytan mellan d�ck och v�glaget. �ven en enklare mekanisk testrigg efterstr�vas utan behov av h�gteknologisk utrustning. Tre koncept fr�n olika kategorier finns kort beskrivna nedan med text och illustration, alla slutkoncept finns under Bilaga IV.
10.3.1 Studs med fast vinkel
Konceptet bygger p� en metod som tidigare tagits fram p� Lule� tekniska universitet vid namn Jumping ball vars syfte �r att testa oljor och fetters friktionsh�mmande egenskaper. Genom att studsa en kula mot ett olja/fett belagt underlag och sedan registrera kulans rotationshastighet med hj�lp av en kamera. P� liknande s�tt kan �ven ett d�ck studsas mot v�glaget. Konceptet best�r av en skena med fast vinkel mot v�glaget. Hjulet �r f�rsett med en hjulaxel som �r kullagrad i �ndarna, alternativt en sl�de, som transporterar hjulet. Fr�n en best�md h�jd sl�pps hjulet vars lagrade axel f�ljer skenan och g�r s� att hjulet inte har n�gon rotation innan det n�r testunderlaget. N�r hjulet studsar mot testytan uppst�r ett moment kring kontaktytan som kan betraktas som en linje. Beroende p� hur mycket friktion som uppst�r mellan d�cket och v�glaget s� kommer d�cket att rotera med en viss hastighet, se figur 16. Denna rotationshastighet m�ts med hj�lp av en kamera och kan �vers�ttas till friktion.

figur 16 - Konceptet "Studs med fast vinkel"
10.3.2 Hydraulstyrd arm 1
En arm �r i ena �nden monterad i sl�pvagnen. I motst�ende �nda sitter m�thjulet och en elektrisk motor. Med hj�lp av en hydraulcylinder kan ett �nskv�rt tryck l�ggas p� hjulet, se figur 17. Armen har en lastcell och n�r elmotorn b�rjar arbeta kan en kurva �ver kraft/sp�nning i armen som funktion av tiden ges. Denna kraft kan �vers�ttas till friktionen mellan d�ck och v�glag.
Alternativt kan konceptet utarbetas f�r utveckling av en dragkroksutrustning. Med en kulhandske avsedd f�r en sl�pvagn eller dylikt, och en �vre inf�stningspunkt i ett takr�cke skulle utrustningen kunna anpassas f�r anv�ndning p� i princip vilken bilmodell som helst. Konceptet kan �ven kompletteras med en anordning f�r m�tning av den kraft som kr�vs f�r att sv�nga hjulet. Detta skulle motsvara hur pass hur tr�gt det skulle bli att vrida hjulen n�r bilen st�r still t.ex. inf�r en fickparkering

figur 17 - Konceptet "Hydraulstyrd arm"
10.3.3 Fast vertikal skena
Hjulet �r antingen konstant drivet av en motor eller uppaccelererat i luften innan en last i form av en d�dvikt eller hydraulik anl�ggs. Friktionen och rotationen vill driva d�cket i horisontell riktning vilket motverkas av en stum kraftgivare. Skenan/gejdern i vilken hjulaxeln viktanl�ggs �r i sin �vre �nda fastsatt med en friktionsfri led. Viktigt f�r att erh�lla goda resultat �r att testriggen st�r stabilt och inte kommer i r�relse d� d�cket f�r kontakt med testunderlaget. Se figur 18 f�r illustration av konceptet.

figur 18 - Konceptet "Fast vertikal skena"
11 Konceptviktning och utv�rdering
H�r beskrivs arbetet med att gallra bland koncepten f�r att f� ner m�ngden koncept till ett mer hanterbart antal, de intressantaste viktades sedan mot varandra.
11.1 Gallring av koncept
Det som var mest avg�rande vid gallringen av koncepten var hur m�tningen var t�nkt att g� till. En enkel och okomplicerad metod efters�ktes d�r uppst�llning och utf�randet av testet skulle f�rl�pa utan komplikationer. S� lite tid som m�jligt skulle l�ggas p� att justera in testriggen vilket ledde till att m�nga koncept kunde ratas och tas bort fr�n det fortsatta arbetet.
De ber�rda koncepten i detta fall var alla de som p� n�got s�tt hade en tangentiell inloppsbana mot underlaget som skulle testas. F�r att dessa koncept skulle fungera skulle mycket tid f� l�ggas p� att justera in utrustningen s� att inloppet verkligen var tangentiellt vid varje testomg�ng. Detta ans�gs som on�digt kr�ngligt och beslut togs att de ber�rda koncepten kunde tas bort. �ven koncept som ans�gs vara mer av tillbeh�rskarakt�r togs bort d� dessa kunde finnas som �nskem�l i kravspecifikationen.
Totalt blev 8st koncept kvar efter gallringen vilket var en mycket mer hanterbart antal �n de 19 fr�n b�rjan. De som var kvar kunde grovt delas in i tre kategorier, studsande, anliggande samt spinnande test.
11.2 Konceptviktning
De �tta kvarvarande koncepten f�rdes in i den viktmatris som skapats utifr�n den kravspecifikation som satts upp. P� samma s�tt som kraven viktats med betyg fr�n 0-5, fick koncepten p� samma s�tt betyg fr�n 0-5 p� hur v�l de uppfyllde de olika kraven. Genom att multiplicera konceptets po�ng med den procentuella vikten ett krav f�tt, fick konceptet en viktad po�ng f�r varje delkrav. N�r koncepten f�tt en viktad po�ng f�r varje krav summerades alla dessa och en total po�ng kunde presenteras f�r varje koncept. Det koncept med h�gst slutpo�ng var det som f�reslogs som det vinnande konceptet. F�r kunna g�ra en noggrannare studie j�mf�rdes koncepten efter varje kravkategori f�r att b�ttre se skillnaden del f�r del samt att kunna uppt�cka stora skillnader, se Bilaga V f�r att studera viktmatrisen.
Efter att resultatet fr�n viktmatrisen studerats kunde vissa slutsatser dras. H�gst viktad po�ng fick koncept nr 2 medan den h�gsta oviktade po�ngen uppn�ddes av koncept nr 8. Detta p.g.a. att koncept nr 8 uppfyller l�gt viktade krav mycket bra medan de h�gre viktade kraven inte uppfylls lika bra. Omv�nt g�ller detta f�r koncept 2 vilket tydligt kan ses i viktmatrisen under funktionskrav d�r koncept nr 2 tillsammans med koncept nr 1 f�r h�gst viktad po�ngtilldelning trots att de tilldelats l�gst antal po�ng. Ser man till varje delranking �r det endast viktningen av funktionskrav som visar denna po�ngf�rdelning, att de b�sta koncepten hade minst viktade betygspo�ng. I de andra tre kategorierna �r det fallande ordning p� betygspo�ngen.
En unders�kning gjordes d�r de krav med en viktning l�gre �n fyra �nollades�, detta f�r att se hur mycket de l�gre viktade kraven inverkade p� den totala viktningen. Denna operation utf�rdes p� de koncept valda att unders�ka n�rmare (1,2,8,12,17). Resultatet blev att det efter justeringen inte spelade n�gon roll hur placeringen ordnades, efter vikt- eller betygspo�ng. St�rsta f�r�ndringen placeringsm�ssigt skedde mellan koncept 1 och 8 som bytte plats. �verlag h�jdes den viktade po�ngen �verlag f�r alla koncept f�rutom f�r 8:an, det l�g kvar p� i stort sett samma po�ng som innan vilket ocks� ledde till dess placeringsf�rs�mring.
11.3 Kombinerade koncept
Efter f�rsta viktningen var gjord fanns �nskem�l om att kombinera tv� snarlika koncept av tv� slag, och sedan vikta dem igen mot varandra. Detta f�r att se om det var m�jligt att p� s� s�tt kunna kombinera ihop bra egenskaper fr�n de tv� olika och p� s� s�tt f� en b�ttre testutrustning. De koncept som slogs ihop var 1&2 samt 12&17, koncept 8 �r medtagen till viss del i det senare paret. Innan sammanslagningen av koncepten skedde var utf�rdes tester d�r hjul provstudsades, dels f�r att se om det skulle vara m�jligt att utf�ra testet samt att f�r att f� en uppfattning om viken ungef�rlig kontaktyta det handlade.
11.3.1 Koncept 1&2
Koncept 2 var det som vann den f�rsta viktningen men p�minde mycket om koncept 1 med sitt studsande d�ck. Tanken bakom kombinationen var att m�jligg�ra anv�ndning av ett spinnande d�ck som fick studsa i olika f�rutbest�mda vinklar som i 2:an. Detta skulle l�tt kunna uppn�s utan st�rre ombyggnad av koncept 2�s grundstomme. P� detta s�tt skulle flera olika m�tningar kunna utf�ras med bl.a. icke spinnande, fram�tspinnande och bak�tspinnande d�ck. F�rst av allt gjordes en j�mf�relse mellan de tv� koncepten i viktningsmatrisen d�r det kunde konstateras en skillnad p� endast ett f�tal punkter, koncept 2 utan n�gon punkt s�mre �n koncept 1. Ist�llet f�r att f�rs�ka g�ra en ny viktmatris diskuterades ist�llet de nya f�rh�llandena som skulle uppst� vid en sammanslagning, detta kunde f�ljande konstateranden g�ras.
Genom att l�gga till spinn p� hjulet blir m�tmetoden annorlunda och n�got med komplicerad. M�tning av rotationen kommer i detta fall bli n�dv�ndigt b�de f�re och efter studsen och m�tt som h�jd och l�ngd blir viktigare att m�ta. Detta g�r att m�tproceduren blir n�got mer komplicerad och fler parametrar m�ste h�llas reda p�.
Efter att bl.a. sett en filmupptagning Michelin gjort p� ett d�ck som startas fr�n stillast�ende med ett motorvarvtal p� 3500rpm, kan slutsatsen dras att n�r ett spinnande hjul kommer i kontakt med en stillast�ende yta s� gr�ver det ner sig. Detta g�ller d� f�r vinterv�glag i synnerhet men �ven f�r andra l�gfriktionskontakter. Det som �r intressant i v�rt fall �r att unders�ka och karakterisera det �versta ytskiktet vilket inte kommer att bli helt korrekt utf�rt med denna metod.
Viss modifikation kommer �ven att f� g�ras av koncept 2�s grundstomme f�r att anpassa den f�r ett uppspinnat hjul, dels m�ste robustheten ses �ver samt att en l�sning f�r sj�lva uppspinnandet av hjulet, det sistn�mnda med antingen en fast monterad elmotor eller en l�s borrmaskin av n�got slag.
11.3.2 Koncept 12&15
En vidareutveckling som kan t�nkas g�lla koncept nr 12, �r att med hj�lp av sensorer som m�ter hjulaxelns l�ge i horisontalled och hjulets rotationshastighet, kunna uppn� ett noggrant v�rde p� G. P� detta s�tt bortses allts� all m�tning i den t�nkta mottagaren. Om en dynamometer skulle vara inkopplad enligt koncept nr 17, kan G inte fastst�llas d� dynamometern hindrar hjulet fr�n att f�rflyttas tillr�ckligt l�ng str�cka f�r att f� tillr�ckliga m�tv�rden. G �r ratiot mellan rotationshastighet och faktisk hastighet. Dvs. om hjulets rotation ger samma hastighet som ekipaget innehar utan glidning uppst�r �r ratiot 1:1
G�llande spinnfunktionen i koncept nr 17 h�nvisas till tidigare n�mnda beskrivning av kombinationen av koncept 1 och 2. Att anv�nda sig av sj�lva konstruktionen fast ist�llet f�r att spinna upp hjulet ans�tta det mot underlaget och anl�gga en viss last p� axeln och utf�ra en start enligt koncept 12 �r m�jligt.
Att applicera hydrauliken fr�n koncept nr 8 skulle kunna g�ra l�sningen mer intressant och �ven underl�tta handhavandet d� manuell p�l�ggning av last p� m�thjulets axel undviks. Problemet som uppdagades vid studerande av l�sningen �r att hjulet inte arbetar p� en punkt/liten yta utan f�rflyttar sig l�ngs en linje. Hydrauliken m�ste d� p� n�got vis f�lja med i denna f�rflyttning d� den p�lagda lasten m�ste verka vertikalt ner p� axeln. Om detta inte uppfylls s� kommer hydrauliken antingen hj�lpa eller motverka hjulets r�relse utmed underlaget.
11.4 Utv�rdering
Efter att djupare studerat de kombinerade koncepten beslutades att det i dagsl�get inte var av intresse. Enkelheten i testriggen f�r inte missgynnas till f�rm�n f�r till�ggsfunktioner som d�rmed kan h�mma grundid�n och d�rmed beslutades att de framtagna koncepten f�rs vidare till n�sta fas i utvecklingscykeln, att vidareutveckla det slutgiltiga konceptet.
D� nyfikenhet fanns p� hur v�l f�rstudiekonceptet skulle st� sig mot de av enklare modell besl�ts att �ven detta skulle f�ras in i viktningsmatrisen, se Bilaga VI. F�rstudiekonceptet visade st� sig mycket bra i j�mf�relse med de andra koncepten, mycket beroende p� att testet �r verklighetstroget. Dock kan det inte konkurrera p� det ekonomiska planet d� utrustningen �r kostsam.
12 Slutgiltigt koncept
Kapitlet beskriver det slutgiltiga konceptet. En detaljerad funktionsbeskrivning ges tillsammans med ber�kningar och en simulerad modell som verifierar testriggens funktion.
Konceptet som valdes till att bli det slutgiltiga var Studs med fast vinkel. Detta konceptet har med hj�lp av viktningsmatrisen och resonemang visat sig vara det koncept som b�st uppfyller kraven och tillika �r mest relevant f�r uppgiften. Detta koncept vidareutvecklades och modellerades i 3D-CAD-programmet Ideas. Komplett ritningsunderlag har tagits fram och det som �terst�r ut�ver tillverkningen av testriggen �r inf�rskaffande av m�t- och karakteriseringsutrustning.
12.1 Detaljerad funktionsbeskrivning
I figur 19 visas en �versiktlig bild av testriggen i uppf�llt l�ge. I det n�rmaste alla delar som utg�r grunden f�r testriggen �r tillverkat av aluminiumprofiler med standard m�tt. Detta g�r att testriggen kan konstrueras mycket kostnadseffektivt och med stora m�jligheter att byta ut utslitna eller skadade detaljer. Det st�llbara tv�rstaget m�jligg�r provning med olika infallsvinklar mot testytan, dessa justeras enkelt med vingmuttrar alternativt st�rre plastvred. P� s� vis finns m�jlighet att prova fram vilken vinkel som b�st ger kvalitativa resultat med god repeterbarhet f�r olika underlag men ocks� en m�jlighet att prova vilken vinkel som ger den studs som enklast kan kontrolleras d� i avseende p� avl�sning av rotationshastighet och �ven p� var hjulet hamnar rent geografiskt.

figur 19 - CAD-modell av Testriggen.

figur 20 - Fallvagnen.
figur 20 visar sl�den vars uppgift �r att transportera hjulet utmed glidskenorna. Sl�dens hjul best�r av fyra stycken t�tade kullager, vilka skall rulla inuti glidskenorna. Att anv�nda insidan av aluminiumprofilerna har m�nga f�rdelar, bla. skyddar dessa sl�dens hjul fr�n sn� och andra o�nskade partiklar men fungerar dessutom som ett bra st�d �t sl�dens r�relse. Det �r mycket viktigt att dessa skenor h�lls i gott skick och att ytan som kullagren rullar mot h�lls s� rena och sl�ta som m�jligt s� att dessa inte p�verkar sl�dens r�relse i hastighet och riktning. Sl�dens ing�ende delar �r konstruerade p� ett s�dant s�tt att de enkelt kan bytas ut. Detta �r n�dv�ndigt d� sl�den v�ntas bli p�verkad av upprepade tester med relativt h�rda sammanst�tningar mot testunderlaget.
Testriggens fr�mre h�rn �r ledat och m�jligg�r att testriggen kan justeras till olika infallsvinklar men ocks� f�r att enkelt kan f�llas ihop f�r transport. Leden �r utformad som en gradskiva f�r att underl�tta avl�sning av infallsvinkeln. Under testriggens markst�d sitter ispiggar vars uppgift �r att se till att testutrustningen st�r stabilt p� alla underlag. Dessa �r justerbara och m�jligg�r att riggen st�r stabilt �ven p� oj�mn underlag.
Genom att testriggen �r konstruerad p� ett s�dant s�tt att infallsvinkeln �r st�llbar finns vissa utvecklingsm�jligheter. Om testriggen st�lls s� att vinkeln �r 90 grader mot testytan, f�rutsatt att ytan �r horisontell, kan testriggen med relativt enkla hj�lpmedel utf�ra de test som koncept nr1, �M�ta vinkel�, var utarbetat att g�ra. Den st�llbara infallsvinkeln inneb�r ocks� att testriggen �r hopf�llbar f�r att underl�tta transport och hantering, se figur 21. Ritningar p� en f�rsta �vergripande modellering ses i Bilaga VIII - Ritningar.

figur 21 - Testriggen i hopf�llt l�ge.
12.2 F�ruts�ttningar f�r experiment
F�r att kunna genomf�ra ett experiment, dvs. testa testriggen och komma ig�ng med anv�ndandet beh�vs viss utrustning. F�rutom testriggen och det t�nkta m�thjulet beh�vs framf�rallt en videokamera p� stativ. Enligt expertis inom omr�det fungerar en ganska enkel videokamera f�r hemmabruk. Viktigt �r att slutartiden kan justeras efter �nskem�l. Som exempel valdes en videokamera fr�n JVC med modellbeteckningen GZ-MG67 (pris ca 7000kr) att studeras f�r �ndam�let. Kameran lagrar data p� en inbyggd h�rddisk vilket underl�ttar vid analys av videomaterialet. Kamerans slutartid kan st�llas mellan 1/2 � 1/4000 sekund. En normal slutartid f�r en videokamera �r 1/50 sekund vilket medf�r att bilden f�r ett stort sk�rpedjup men liten r�relsesk�rpa. I testriggens fall kan t�nkas att det kr�vs en b�ttre r�relsesk�rpa f�r skarpa bilder och d� m�ste slutartiden st�llas kortare. Vid denna inst�llning erh�lls, f�rutom b�ttre r�relsesk�rpa, ett f�rs�mrat sk�rpedjup dessutom kr�vs mer ljus vilket kan �tg�rdas med en byggstr�lkastare. M�tning av l�ges- och hastighetsparametrarna g�rs med hj�lp av en l�ngdskala som �r f�st p� riggen utmed sl�dens bana och en liknande bakgrundsmatris. Detta tillsammans med k�nd fakta att en vanlig videokamera tar 25st bilder/sekund, kan hastigheter mellan tv� bildrutor erh�llas. Ett alternativt s�tt �r att med k�nda l�ngdenheter, exempelvis tv� referenspunkter p� riggen med ett k�nt avst�nd, r�kna pixlar som �r k�nd fakta p� kameran beroende p� dess inst�llning. P� detta s�tt kan studskoefficienten e ber�knas, se formeln nedan.

figur 22 - F�renklad formel f�r studskoefficienten e
Nedan i figur 23, kan en bildserie �ver en d�ckstuds studeras. Kameran �r standardinst�lld och slutartiden n�got f�r l�ng. Den r�da linjen fungerar som referenslinje och den gula visar hjulets rotation. Vid anv�ndande av testriggen kommer den gula och r�da linjen att sammanfalla rakt vertikalt vid sl�ppl�get. Den gula linjen b�rjar rotera direkt d� hjulet tr�ffar underlaget.

figur 23 - Studsf�rlopp - 1 utg�ngsl�ge, 2 studs�gonblick, 3 v�ndh�jd
N�got som �r intressant vid et test, �r att veta vad man har f�r kontakttryck vid sj�lva studs�gonblicket. F�r att erh�lla ett v�rde p� detta kontakttryck mellan hjul och underlag kan en vidareutveckling av ekvation (9) fr�n teoridelen, kap. 12.3, anv�ndas. D� det �r en kraft som f�s ur den ekvationen, divideras den med uppskattad eller uppm�tt kontaktarea och en bra approximering p� kontakttrycket f�s, se figur 24 f�r formeln.

figur 24 - Formel f�r approximerat kontakttryck
Kontakttrycket �ndras under hela studsf�rloppet d� denna area inte �r konstant. Ett prov gjordes att studsa ett d�ck mot ett vitt papper f�r att p� s� s�tt f� reda p� dess maximala kontaktyta som uppskattningsvis var ca 2 kvadratdecimeter. H�r m�ste lufttrycket i d�cket kontrolleras men �ven d�ckm�nstret �r komplext ur areasynpunkt. F�r att erh�lla ett korrekt v�rde p� kontakttrycket b�r en sensor fr�n Tactilus anv�ndas, denna registrerar dess all t�nkbar intressant statistik som t.ex. maximalt v�rde p� kontakttrycket (f�r vidare information se: http://www.sensorprod.com/tactilus/apps/tire.pdf). �ven enklare m�tmetoder som inte kr�ver dator finns att tillg�. D� anv�nds ett speciellt kontakttryckspapper som l�ggs mellan hjulet och underlaget. Sedan skickas dessa papper in till leverant�ren som framkallar kontaktbilderna i f�rgskala som visar var h�gst kontakttryck uppst�r.
12.3 Teoretisk modell
Testriggens levererade data m�ste behandlas f�r att friktionskoefficienten skall kunna erh�llas. F�r att uppfylla detta utarbetades en teoretisk modell av h�ndelsef�rloppet. Modellen unders�ker �ven testriggens funktionalitet och visar om det blev f�r m�nga inverkande parametrar som �r sv�rdefinierade och kan d�rmed avg�ra om testmetoden �r l�mplig eller inte. Vad de olika symbolerna betyder i teoridelen kan utl�sas i nomenklaturen nedan.

Till att b�rja med sattes fem ekvationer upp som visar d�ckets hastighet/acceleration i horisontal- och vertikalled innan studs samt tiden hjulet faller utmed rampen.

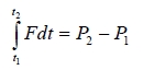
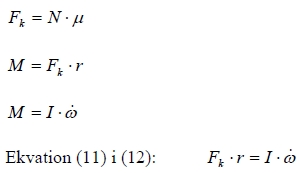
F�r att analysera vilken normalkraft som verkar vid studsen, som i sin tur p�verkar friktionskraften, sattes en ekvation upp med hj�lp av Impulslagen.


P� n�sta sida ses en f�renklad uppst�llning �ver uppkomsten av rotation med hj�lp av det moment som uppst�r med friktionskraftens inverkan. Det b�r beaktas att den ber�knade modellen �r f�renklad och d�rf�r betraktas som f�rlustfri. I ett verkligt fall uppst�r b�de v�rme, glidning, deformationer och �ven gummits fj�drande och d�mpande egenskaper, etc.
Kraftinverkan vid studs kan ses till v�nster i figur 25, d�r den beskrivande figuren visar krafterna som verkar vid studsf�rloppet. F �r hjulets verkande kraft mot underlaget. N �r normalkraften som motverkar F. Fk �r friktionskraften som beror p� friktionskoefficienten � och normalkraften. Den streckade linjen �r hjulets bana.

figur 25 - Kraftinverkan vid studs.


Ber�kning an masstr�ghetsmomentet, I, kan ses i Bilaga VII.
Ett alternativt s�tt att analysera testresultaten som erh�lls fr�n med hj�lp av den optiska m�tutrustningen �r att st�lla upp r�relseekvationer f�r f�rloppet. I nedanst�ende ber�kningar har f�rlusterna i sl�den f�rsummats d� det som �r intressant �r hastigheten som hjulet har vid studs�gonblicket. Denna hastighet kan betraktas som k�nd d� profilen som sl�den f�rdas utmed kan utrustas med en l�ngdskala alternativt tv� referenspunkter med ett k�nt avst�nd. Med en k�nd slutartid kan hastigheten enkelt utl�sas via l�ngdskalan eller de tv� referenspunkterna och pixelr�kning. Eftersom hastigheten �r k�nd beh�ver inte sl�dens massa beaktas.


Om en j�mf�relse g�rs med ekv. 17 kan m�nga likheter ses. Uttrycket �r detsamma s� n�r som p� att i ekv. 17 r�knas med st�ttalet e, och endast beaktar translaterande hastigheter i en led. Ekv. 26 behandlar ist�llet tiden under vilken studsen sker, tyngdaccelerationen och translaterande hastigheter i tv� led.

P� detta vis kan friktionskoefficienten ber�knas utifr�n data som registrerats med videokameran. Den resulterande ekvationen �r enkel och med ett relativt litet antal parametrar att beakta, dessa kan alla samlas in med hj�lp av kamerateknik.
12.4 Simulerad modell
F�r att ytterligare lyckas verifiera testriggens funktion och kapacitet att m�ta olika friktionsv�rden beslutades att f�rs�ka skapa en simuleringsmodell i programmet ADAMS View. Det �r ett program f�r dynamiska simuleringar d�r m�jlighet att importera 3D-modeller fr�n olika CAD-program finns.
D� importeringen av v�r CAD-modell inte fungerade som den skulle, anv�ndes modelleringsm�jligheterna i ADAMS ist�llet. Modellen av testriggen blev inte lika detaljerad som den gjord i I-DEAS men fullt tillr�cklig f�r att visualisera testriggen p� ett korrekt s�tt samt att simuleringarna skulle kunna utf�ras utan komplikationer.
Ett verklighetstroget h�ndelsef�rlopp f�r testriggens funktion skapades och med en hel del laborerande med d�ck- och kontaktparametrar kunde en f�rsta fungerande studsmodell uppvisas. Genom att r�kna ut ett approximativt masstr�ghetsmoment f�r ett t�nkt hjul samt som tidigare n�mnts, testa med olika parametrar som studskoefficient, d�mpningsfaktor, friktion, mm, skapades en s� trov�rdig simulering som m�jligt.
Resultatet fr�n de utf�rda simuleringarna blev inte riktigt s� givande som hoppats, sm� parameterf�r�ndringar kunde resultera i v�ldigt ologiskt d�ckbeteende under simulering. D�cket kunde f� f�r sig att stanna direkt vid markkontakt trots att friktionen var l�g och det kunde �ven studsa s� att en h�jd h�gre �n sl�pph�jden uppn�ddes.
Alla dessa ologiska fenomen som uppstod kunde kanske ha kunnat undvikas om d�ck- och v�gparameterfilerna fungerat som de skulle. I dessa filer skulle n�mligen d�ckparametrar givna fr�n tillverkaren finnas vilket skulle ha underl�ttat vid utf�rd simulering. I simuleringarna har mycket testande och antagande gjorts vilket gjort simuleringen en aning chansartad. Skulle problemet med de n�mnda filerna l�sas, skulle en simulering i ADAMS kunna ge mycket mer. Det som uppn�tts har dock visat p� att testriggen kommer fungera som v�ntat men inga exaktare m�tningar kunnat redovisas.
12.5 Kostnadskalkyl
D� detta �r ett f�rslag p� hur en eventuell testrigg kan t�nkas se ut �r kostnadskalkylen approximativ. Enligt f�rslag skall testriggen tillverkas i aluminium f�r minskad vikt, men en f�rsta prototyp tillverkas f�rdelaktigt i st�l d� det �r billigare. Huvudkostanden f�r testriggen kommer �nd� vara en filmkamera som uppfyller de krav som st�lls p� den. D� det inte kr�vs mer avancerad programvara f�r att bearbeta filmupptagningarna �n det som finns kommersiellt, �r detta ingen betydande kostnad. En approximativ kostnadskalkyl kan se ut som f�ljande:
Produktionskostnaderna �r diskuterade med Centralverkstaden vid Ltu och varierar mycket med delarnas komplexitet samt antal. Framst�llning av endast en blir mycket h�gre �n om flera skulle tillverkas d� det skulle bli mycket spillmaterial vid tillverkning av endast en. De ing�ende delarnas komplexitet b�r ses �ver om en enkel st�lprototyp framst�lls med bra resultat och en i aluminium blir aktuell.
Priset p� filmkamera �r h�mtat fr�n Internet och prisbilden kan d�rf�r komma att �ndras, mest troligt �t det billigare h�llet. N�gon h�ghastighetskamera �r inte unders�kt d� en s�dan inte �r aktuell i dagsl�get. Att en rigg gjord i st�l blir s� mycket billigare beror p� att det materialet k�ps in mer frekvent till andra projektriggar som byggs p� avdelningen och d�rf�r kan ev. spillmaterial anv�ndas till en f�rsta fungerande prototyp och priset d�rmed h�llas ner.
13 Diskussion och slutsatser
Efter att till en b�rjan inriktat testriggsframtagandet mot en bredare marknad som d�cktillverkare, biltestindustrin, v�gverket mm s� har m�lomr�det smalnat av efter arbetets g�ng. En vision om en tekniskt avancerad testrigg sk�ts fram�t i tiden d� det ans�gs vara b�st att starta mycket grundl�ggande inom detta f�r Lule� tekniska universitet nya �mnesomr�de.
Den slutgiltiga konceptutvecklingen riktade sig mot tekniskt enkla l�sningar som �r l�tta och snabba att man�vrera vid testutf�randet. Detta test skulle s� realistiskt som m�jligt kunna utf�ras med stillast�ende rigg med en s� liten kontaktyta som m�jligt och d�rmed karakteriseringsbar p� en noggrann niv�. Den utvecklade testriggen uppfyller de flesta av alla krav som st�lls p� den men framf�rallt de krav som �r h�gst viktade. Eftersom testriggen �nnu inte �r framst�lld till en prototyp finns inget fullkomligt svar p� om det slutgiltiga konceptet kommer att uppfylla de �vriga kraven men n�gra direkta svagheter har i detta arbete inte p�tr�ffats. Beroende p� med vilken avsikt som testriggen konstrueras ges f�ljande f�rslag:
Om testriggen �r t�nkt att anv�ndas till forskning f�r att unders�ka sambandet mellan d�ckets och v�gytans karakteristik i f�rh�llande till varandra s� b�r den framtagna testriggen i den h�r rapporten produceras. Simulering i Adams visar att rotationshastigheten varierar med friktionskoefficienten. Ytan som d�cket studsar mot �r begr�nsad till en relativt liten area som l�tt kan karakteriseras med r�tt utrustning vilket �r bra n�r ett samband skall tas fram.
Om testriggen �r t�nkt att produceras i ett st�rre antal f�r att exempelvis testf�retagen i norra Sverige skall kunna utf�ra tj�nster �t d�ckf�retagen med tester som j�mf�r d�ckens grepp under olika r�dande f�rh�llanden b�r f�rstudiens huvudkoncept vidareutvecklas. Detta test �r mycket enkelt att utf�ra och ett j�mf�rbart medelv�rde p� friktionskoefficienten �ver en viss str�cka kan l�tt erh�llas. Med en utarbetad testprocedur och kalibrerings process kan stora m�ngder data insamlas med flertalet m�tvagnar och enkelt sammanst�llas.
Bilaga I � Projektplanering

Bilaga II � Kalibreringsprotokoll

Bilaga III � F�rstudiekoncept
Boggey
Konceptet byggde p� en boggeykonstruktion liknande den som finns p� lastbilar. Lasten kan v�xla mellan hjulparen som kan h�jas upp och ner. P� vagnen finns �ven en vikt man kan skjuta fram och tillbaka f�r att kunna justera lasten �ver det hjulpar som �r i kontakt med underlaget.
Sv�ngande sl�p
Detta koncept har viss likhet med de friktionsm�tare som finns idag, skillnaden �r att det p� denna sl�pvagnsbaserade rigg finns tv� �hjulupph�ngningar�. Sp�rvidden de tv� m�thjulen sinsemellan b�r vara s� stor som m�jligt d� det �r t�nkt att �ven transversella krafter skall kunna m�tas vid vanlig kurvtagning med sl�p. Eventuellt skall det g� att st�lla toe-in f�r att m�ta transversella krafter.
MC-swing
Detta koncept var det som liknade befintliga l�sningar mest, detta utan att skaparen hade minsta vetskap om hur de s�g ut. Konceptet simpelt baserat p� en motorcykels bakre hjulupph�ngning monterat p� en sl�pvagn. Utrustad med hydralik som reglerar marktryck samt en eventuell v�xell�da f�r att kunna variera utv�xling. En annan l�sning p� utv�xlingsproblemet skulle kunna vara att ha m�jligheten att �ndra ett �inputv�rde� som relaterar till d�ckdimension mm, sedan r�knas ett f�rh�llande ut med l�mplig framtagen ekvation.
M�tt�g
Detta koncept �r en vidareutveckling av MC-swing d�r tanken �r att man skall sammankoppla flera vagnar till ett t�g. P� detta s�tt kan flera d�ck testas p� samma g�ng, man spar in tid och hinner testa flera d�ck.
Inlinevagn
Med detta koncept �r meningen att en kassett med ett flertal hjul skall kunna f�llas ut p� b�da sidor om vagnen, liknande en inlineskena med hjul. Hjulen ska kunna testas ett i taget och vridas individuellt. Vagnens egenvikt kommer anv�ndas som belastning av hjulen p� armarna och �r varierbar d� olika tryck kan appliceras av armarna.
Inlinekassett
En vidareutveckling av inlinevagnen d�r det p� varje arm sitter flera �skenor� i kryssformation och som g�r att rotera vid byte av m�tomg�ng.
Glidskenan
H�r har MC-swingen tagits och monterat den p� en glidskena. Genom att g�ra detta �r f�rhoppningen att komma undan de sidokrafter som skulle uppkomma vid snedst�llning av ett hjul. Med en fast installation p� en vagn skulle en vridning av hjulet leda till att vagnen b�rjade sv�nga och konsekvenserna f�r�dande. Mellan vagnen och upph�ngningen p� glidskenan skulle m�tsensorer monteras f�r att m�ta de sidokrafter som uppkommer vid vridning.
Konveyer
Id�n �r att ett l�ttmonterat konveyersystem inneh�llande ett st�rre antal hjul ska s�ttas upp p� intressant plats. D�refter ska hjulen ett och ett snabbt testas mot underlaget. Som drivande k�lla kan t.ex. ett vajersystem anv�ndas f�r att f� hjulen att snurra. �ven transversella krafter genom vridning skall kunna testas.
Tentakeln
Tentakeln �r t�nkt som en l�st (ledad) h�ngande arm av typen MC-swing. Genom att ha den ledad i vertikalled kan man f� armen att vrida sig ist�llet f�r vagnen n�r man testar att snedst�lla testhjulet. Vridsensorer kommer att finnas f�r att armen inte ska kunna vrida sig f�r mycket och orsaka problem.
Bilaga IV � Huvudkoncept
1. M�ta vinkel
Detta koncept bygger p� en enkel konstruktion som borde ge j�mf�rbara data. P� en vald h�jd ifr�n v�glaget s�tts hjulet i rotation med hj�lp av en elmotor, borrmaskin eller liknande. Hjulet sl�pps sedan att falla fritt med hjulaxeln styrd av tv� skenor f�r att kontrollera att fallet blir lodr�tt och lika mellan hjulbytena. M�tningen sker med en kamera som kan registrera vinkeln mellan tangenten till den bana som hjulet f�ljer efter studsen och markplanet. En h�g friktion resulterar i en liten vinkel och l�g friktion ger till resultat en st�rre. En alternativ m�tning �r att man m�ter hjulets rotation efter studsen i j�mf�relse med den rotation som anl�ggs innan hjulet sl�pps att falla.

2. Studs med fast vinkel
Konceptet bygger p� en metod som tidigare tagits fram p� Lule� tekniska universitet vid namn Jumping ball, vars syfte �r att testa oljor och fetters friktionsh�mmande egenskaper. Genom att studsa en kula mot ett olja/fett belagt underlag och sedan registrera kulans rotationshastighet med hj�lp av en kamera. P� liknande s�tt kan �ven ett d�ck studsas mot v�glaget. Konceptet best�r av en skena med fast vinkel mot v�glaget. Hjulet �r f�rsett med en hjulaxel som �r kullagrad i �ndarna, alternativt en sl�de, som transporterar hjulet. Fr�n en best�md h�jd sl�pps hjulet vars lagrade axel f�ljer skenan och g�r s� att hjulet inte har n�gon rotation innan det n�r testunderlaget. N�r hjulet studsar mot testytan uppst�r ett moment kring kontaktytan som kan betraktas som en linje. Beroende p� hur mycket friktion som uppst�r mellan d�cket och v�glaget s� kommer d�cket att rotera med en viss hastighet. Denna rotationshastighet m�ts med hj�lp av en kamera och kan �vers�ttas till friktion.

3. D�ckpendel
Principen bygger p� en gammal m�tmetod f�r d�ck friktion, Portable Skid Resistance Tester, som finns presenterad under kapitlet M�tmetoder d�r dess funktion och m�tomr�de finns beskrivet n�rmare.
St�llningen som pendeln h�nger i f�lls ut ur en sl�pk�rra och v�l p� plats liknar den en klassisk gungst�llning. F�r att f� stabilitet i st�llningen skall den delvis vara monterad p� sl�pvagnen d� problemet med en pendelrigg �r att den vill flytta p� sig d� d�cket touchar m�tunderlaget. Med en snabb omst�llning av pendelarmen s� att hjulet ist�llet gungar med sidan riktad i r�relseriktningen kan sidokrafter p� d�cket studeras. Att studera d�ckets deformation vid ett s�dant test anses intressant.
Med hj�lp av moment och kraftgivare i hjulets axel och kameror som optiskt registrerar hjulets roterande hastighet och hur h�gt det n�r kan efterfr�gad information insamlas och behandlas i en dator. Sv�righeten med denna m�trigg �r att resultatet �r mycket beroende av att d�cket �r i kontakt precis s� mycket som det skall och pendelarmens l�ngd m�ste d�rf�r vara justerbar. Ytans oj�mnhet skulle ocks� kunna f�rs�mra m�tresultaten d� stor variation sannolikt uppst�r.

4. Momentm�tning p� glidande/bromsat hjul
Tv� skenor bildar en rutschkana f�r en sl�de d�r m�thjulet sitter monterat. P� m�thjulets axel sitter en momentgivare som via blue tooth skickar data till en dator. Sl�den har fyra hjul i form av t�tade kullager och tillverkad av ett i j�mf�relsevis tungt material, p� s� vis kan ett relevant kontakttryck mellan d�ck och underlag �stadkommas. Sl�dens l�ngd �r �tminstone tv� g�nger hjulets diameter f�r att f�rhindra att den sl�r �ver n�r d�cket kommer i kontakt med underlaget. Hjulet kan vara l�st eller bromsat. Momentgivaren levererar v�rden till en dator men �ven str�ckan som sl�den f�rdats fr�n det att hjulet tagit mark kan m�tas och omvandlas till en friktionsfaktor.

5. Ramptest 1
En elmotor accelererar upp hjulet till en best�md hastighet. M�thjulets genomg�ende axel �r lagrad med kullager i �ndarna och vilar p� tv� b�gformade skenor. N�r hjulet n�r botten p� b�gen tar m�nstret i underlaget hjulet accelereras longitudinellt. Ju h�gre hjulet kommer p� upp p� rampen desto st�rre friktion har uppst�tt mellan v�glaget och d�cket. H�jden kan m�tas antingen via sensorer eller med hj�lp av en kamera. Konceptet kr�ver en mycket exakt inst�llningsprocedur d� alla hjul skall ha samma str�cka att vara i markkontakt vilket kommer att bero p� d�ckets radie.

6. Ramptest 2
Likt f�reg�ende koncept accelereras hjulet till en best�md hastighet med hj�lp av en elmotor, skillnaden �r att hjulet roteras �t andra h�llet. P� s� vis kommer hjulet att �ka upp p� samma ramp som det kom ner ifr�n. Riggen kan p� s� vis bli mindre, l�ttare och smidigare. Precis som Ramptest 1 kan h�jden m�tas med hj�lp av sensorer eller kamera. Likt tidigare n�mnda koncept �r Ramptest 2 k�nsligt f�r h�jdinst�llningen men tros inte vara riktigt lika beroende av detta d� ett d�ck med bra grepp v�nder snabbare. En t�nkbar alternativ m�tning �r att m�ta str�ckan som hjulet �r i kontakt med underlaget.

7. Kontrollerad studs
Detta koncept bygger p� en motor av n�got slag, t.ex. en elmotor accelererar hjulet till en best�md hastighet. Sedan sl�pps armen i vilken hjulet �r f�st att falla mot v�glaget. Beroende p� hur stor friktion som uppst�r kommer en studs att uppst�. Den vinkel mot horisontalplanet som armen v�nder vid kan sedan �vers�ttas till friktionen. Detta kan m�tas med hj�lp av en kamera alternativt med elektriska sensorer. Viktigt �r att testriggen utvecklas p� ett s�dant s�tt att den st�r stadigt d� ett d�ck som uppn�r h�g friktion kan t�nkas rubba testriggen ur sitt l�ge. Detta skulle p�verka testets resultat till det s�mre och medf�r att repeterbarheten och j�mf�rbarheten inte blir fullt s� goda som v�ntat.

8. Hydraulstyrd arm 1
En arm �r i ena �nden monterad i sl�pvagnen, i motst�ende �nda sitter m�thjulet och en elektrisk motor. Med hj�lp av en hydraulcylinder kan ett �nskv�rt tryck l�ggas p� hjulet. Armen har en lastcell och n�r elmotorn b�rjar arbeta kan en kurva �ver kraft/sp�nning i armen som funktion av tiden ges. Denna kraft kan �vers�ttas till friktionen mellan d�ck och v�glag.
Alternativt kan konceptet utarbetas f�r utveckling av en dragkroksutrustning. Med en kulhandske avsedd f�r en sl�pvagn eller dylikt och en �vre inf�stningspunkt i ett takr�cke skulle utrustningen kunna anpassas f�r anv�ndning p� i princip vilken bilmodell som helst. Konceptet kan �ven kompletteras med en anordning f�r m�tning av den kraft som kr�vs f�r att sv�nga hjulet. Detta skulle motsvara hur pass hur tr�gt det skulle bli att vrida hjulen n�r bilen st�r still t.ex. inf�r en fickparkering

9. Hydraulstyrd arm 2
Liknande konstruktion som ovanst�ende koncept fast utvecklad med andra specifikationer. Med konstant rotationshastighet p� m�thjulet och varierbart tryck p� hjulaxeln via hydraulcylindern kan friktionen m�tas med hj�lp av t.ex. en momentgivare i axeln eller en lastcell i armen. Viktigt f�r b�da dessa koncept �r att fordonet klarar av att motst� den p�tryckande kraften och inte kommer i r�relse.
10. Marktouch
P�minner om Ramptest 1 men ist�llet f�r att m�ta hur h�gt hjulet kommer, monteras ist�llet en d�mpare som m�ter uppn�dd r�relseenergi hos d�cket n�r det stoppas. Extra viktigt �r att d�ckets markkontakt sker tangentiellt f�r att ingen studs skall uppkomma. Konceptet �r ganska k�nsligt f�r att inte st�llas upp korrekt. Det �r viktigt att de olika d�cken kommer i kontakt med underlaget lika mycket s� att j�mf�rbarheten blir god. En m�jlighet �r att utveckla konceptet s� att �uppf�rsbacken� blir varierbar och justerbar f�r optimering. Detta skulle motverka att d�cken inte klarar av att n� sensorn vid de tillf�llen d� l�gre friktion uppst�r.

11. Momentglidaren
M�thjulet �r f�st p� en genomg�ende axel som �r f�rsedd med momentgivare. Axeln �r i sin tur lagrad f�r att rulla l�tt i den skenkonstruktion som kommer att anv�ndas. Det stillast�ende hjulet sl�pps fr�n en best�md h�jd och f�r sedan falla/glida i skenan. N�r hjulets yta tangerar underlaget kommer ett moment uppkomma mellan hjul och axel som �r l�sta i rotationsaxeln. Fr�n detta moment kan sedan j�mf�relser samt friktionsber�kningar ske. Konceptet m�ste med stor noggrannhet st�llas upp inf�r test s� att de olika hjulen med varierande m�tt tar mark med samma infallsvinkel.

12. Markacceleration
I detta koncept sitter hjulet p� ett nav drivet av en elmotor. Tv� skenor, en p� var sida om hjulet, ser till att hjulet h�ller r�tt riktning och ger stabilitet till den del av m�tutrustningen som �r i r�relse. Efter montering av hjul kommer det att vara i direkt kontakt med underlaget. Med hj�lp av elmotorn kommer sedan hjulet accelereras en best�md str�cka f�r att sedan uppf�ngas och uppm�ta t.ex. sluthastighet, r�relseenergi, mm. M�jlighet att kunna addera vikt f�r att �ka marktrycket kan vara en bra id�.

13. Accelerometer
Denna l�sning �r en kombination av koncept 10 och 12. Hjulet kommer av en elmotor att s�ttas i rotation och vid uppn�dd hastighet att sl�ppas i en skenkonstruktion. N�r hjulet tangerar underlaget kommer det b�rja accelerera. Efter en viss str�cka stannas det hela upp av en d�mpare som m�ter diverse intressant. Den b�jda skenan motverkar att hjulet b�rjar studsa och f�rb�ttrar d�rmed j�mf�rbarheten mellan de olika d�cken.

14. R�rlig kamer
Detta �r ett till�ggskoncept f�r hur man skulle kunna montera en h�ghastighetskamera p� vissa av tidigare presenterade koncept. I �nden p� den genomg�ende axeln skarvas en lagrad del p� som h�ller upp en modul inneh�llande en h�ghastighetskamera. P� detta s�tt kommer kameran att f�lja med och observera hela h�ndelsef�rloppet fr�n b�rjan till slut. Beroende p� vad som �r intressant att studera kan kameran justeras i olika l�gen f�r det som passar det specifika �ndam�let.

15. Fast vertikal skena
Hjulet �r antingen konstant drivet av en motor eller uppaccelererat i luften innan en last i form av en d�dvikt eller hydraulik anl�ggs. Friktionen och rotationen vill driva d�cket i horisontell riktning vilket motverkas av en stum kraftgivare. Skenan/gejdern i vilken hjulaxeln viktanl�ggs �r i sin �vre �nda fastsatt med en friktionsfri led. Viktigt f�r att erh�lla goda resultat �r att testriggen st�r stabilt och inte kommer i r�relse d� d�cket f�r kontakt med testunderlaget.

16. Flexibel medf�ljande skena
Hjulet s�tts i rotation utan markkontakt. En last, d�dvikt eller hydraulik, anl�ggs och d�cket trycks ner mot underlaget. Friktionen g�r att d�cket vill r�ra sig horisontellt. Detta till�ts och d�rmed skapas en naturligare r�relse vid ett visst G. En styvhet skapar ett motst�nd, ev. kan kraften m�tas i styvheten. M�tning kan ocks� ske optiskt.

17. Dynawheel
D�cket spinns upp till r�tt varvtal och s�tts sedan i kontakt med underlaget. En horisontell r�relse som bromsas av fj�dern erh�lls. Str�ckan som d�cket r�r sig �r ett m�tt p� friktionen. Fj�dern kan p� detta vis betraktas som en dynamometer. Konceptet kr�ver i detta enkla utf�rande inga avancerade m�tinstrument. Under ett och samma test kan olika typer av G erh�llas.

18. Sidekick
Konceptet Sidekick kan fungera som till�gg till vissa av de andra koncepten, t.ex. �Fast vertikal skena�. Id�n bygger p� att ge d�cket en knuff fr�n sidan med en typ av �klubba� samtidigt som d�cket b�rjar bromsa. Eventuellt bidrar knuffen att d�cket tappar greppet i rullriktningen.

19. Piruetten
Detta koncept kan fungera som till�gg till ett annat koncept eller som en egen rigg f�r att m�ta vridmotst�nd, egentligen som vriddetaljen p� Hydraulstyrd arm.

Bilaga V � Viktningsmatris gallrade koncept



Bilaga VI � Viktmatris, j�mf�rande



Bilaga VII - Masstr�ghetsmoment
Ber�kning av masstr�ghetsmomentet
Ett approximativt v�rde p� I, masstr�ghetsmomentet ber�knades d�r f�lg och d�ck betraktades som skivor och skal enl. figur nedan. Detta borde ge ett ungef�rligt masstr�ghetsmoment f�r hjulet och anv�ndbart vid ber�kningar. D�ckets m�nstrade kontaktyta samt f�lgbanan betraktas som ett cylindriskt skal, d�cksidorna och resten av f�lgen kan studeras som en skivor.

Ber�kningarna avser ett hjul av standard m�tt. F�lgen �r 16 tum i diameter och bredden p� d�cket �r 195mm. D�ckets profil �r satt till 50 % av d�ckbredden.
Ber�kning av masstr�ghetsmomentet f�r den del av f�lgen som kan betraktas som en cylindrisk skiva:


P� liknande s�tt som ovan har masstr�ghetsmomentet f�r d�cket ber�knats. Nedan kan ber�kningen av masstr�ghetsmomentet f�r den del av d�cket som kan betraktas som en cylindrisk skiva ses:

Ber�kning av masstr�ghetsmomentet f�r den del av d�cket som betraktas som ett cylindriskt skal:

Hjulets totala masstr�ghetsmoment �r summan av de fyra ovan ber�knade massmomenttr�gheterna. Hjulet �r i detta fall f�renklat f�r att underl�tta utr�kningen men �r dock tillr�ckligt exakt f�r att kunna anv�ndas.

Bilaga VIII - Ritningar

















References
- Persson, B.N.J. (1995). Physics of Sliding Friction. Dordrecht, The Netherlands: Kluwer Academic Publishers. ISBN 0-7923-3935-5
- Petrenko, V. F. (1999). Physics of Ice. Oxford, Great Britain: Oxford University Press. ISBN 0 19 851895 1
- Haney, P. (2003). The Racing and High-Performance Tire. Warrendale, USA: Society of Automotive Engineers, Inc. ISBN 0-9646414-2-9
- Ulrich, K. T., Eppinger, S.D. (2000) Product Design and Development. Singapore: McGraw- Hill. ISBN 0-07-116993-8
- Wallman, C-G. (1997). Effekten av Vinterv�gh�llning. Link�ping: V�g- och Transportforskningsinstitutet. ISSN 0347-6030
- Axelsson, L. (1994). Bed�mning av Vinterv�glag. Borl�nge: V�gverkets tryckeri i Borl�nge. VV 1994:82
- Isaksson, M. (1988). Provutrustning f�r M�tning av Sm�rjmedels Skjuvh�llfasthet. Lule�. Rousseaux, R. (1996). Design of a Computerized Evaluation Method for an Impacting Ball Apparatus. Lule�.
- Michelin. (2001). The Tyre Grip. Soci�t� de Technologie Michelin. Tidsskriftarticklar
- Milner, C.J. (1990) Measurement of Tyre-Road Friction. Journal of the Australian road research board, 20 (3), p.61-71. ISSN 0005-0164
- Jacobsson, B. (1985) A High Pressure-Short Time Shear Strength Analyzer for Lubricants. Journal of Tribology, 107 (4), p.220-223
- H�glund, E. (1989) The Relationship Between Lubricant Shear Strength and Chemical Composition of the Base Oil. Wear, 130, p.213-224. ISSN 0043-1648

